

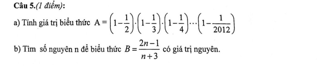
a) Tính giá trị biểu thức
A= (1 - $\frac{1}{2}$).(1 - $\frac{1}{3}$).(1 - $\frac{1}{4}$)...(1 - $\frac{1}{2012}$)
b) Tìm số nguyên n để biểu thức B= $\frac{2n - 1}{n + 3}$ có giá trị nguyên
Hãy luôn nhớ cảm ơn và vote 5*
nếu câu trả lời hữu ích nhé!
a)
`A = (1 - 1/2) (1 - 1/3) (1 - 1/4) . ... . (1 - 1/2012)`
`= 1/2 . 2/3 . 3/4 . ... . 2011/2012`
`= 1/2012`
b)
Để `(2n - 1)/(n+3)` là số có giá trị nguyên thì `2n - 1 vdots n + 3`
Ta có: `{(2n - 1 vdots n+ 3),(n + 3 vdots n + 3):}`
`=> {(2n - 1 vdots n + 3),(2n + 6 vdots n + 3):}`
`=> 2n + 6 - 2n + 1 vdots n + 3`
`=> 7 vdots n + 3`
`=> n + 3 in Ư(7) = {1; 7; -1; -7}`
`=> n in {-2;4;-4;-10}`
Hãy giúp mọi người biết câu trả lời này thế nào?
Câu 5:
a)
`A = (1 - 1/2)(1 - 1/3)(1 - 1/4)...(1 - 1/2012)`
`A = 1/2 * 2/3 * 3/4 * ... * 2011/2012`
`A = (1 * 2 * 3 * ... * 2011) / (2 * 3 * 4 * ... * 2012)`
`A = 1/2012`
b) Để B có giá trị nguyên thì `2n - 1` `vdots` `n + 3`
Ta có: `2n - 1 = 2(n + 3) - 7`
Do `2(n + 3)` `vdots` `n + 3` nên `7` `vdots` `n + 3`
`=> n + 3 in Ư(7) = {-7; -1; 1; 7}`
Ta có bảng giá trị sau:
\begin{array}{|c|c|c|c|c|} \hline n + 3 & -7 & -1 & 1 & 7 \\ \hline n` & -10 & -4 & -2 & 4 \\ \hline \end{array}
Vậy `n in {-10; -4; -2; 4}`
Hãy giúp mọi người biết câu trả lời này thế nào?
Bảng tin
8644
111576
5937
Chấm=)))) tự xử đi
3602
648
1758
=)))))))))