

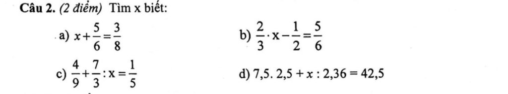
Tìm x biết:
a. x + $\frac{5}{6}$ = $\frac{3}{8}$
b.$\frac{2}{3}$.x - $\frac{1}{2}$ = $\frac{5}{6}$
c. $\frac{4}{9}$ + $\frac{7}{3}$ : x = $\frac{1}{5}$
d. 7,5 . 2,5 + x : 2,36 = 42,5
Hãy luôn nhớ cảm ơn và vote 5*
nếu câu trả lời hữu ích nhé!
`a)x+5/6=3/8`
`=>x=3/8-5/6`
`=>x=-11/24`
Vậy `x=-11/24`
`b)2/3 . x-1/2=5/6`
`=>2/3x=5/6+1/2`
`=>2/3x=4/3`
`=>x=4/3 . 3/2`
`=>x= 2`
Vậy `x=2`
`c)4/9+7/3:x=1/5`
`=>7/3:x=1/5-4/9`
`=>7/3:x=-11/45`
`=>x=7/3 . (-45)/11`
`=>x=-105/11`
Vậy `x=-105/11`
`d)7,5.2,5+x:2,36=42,5`
`=>18,75+x:2,36=42,5`
`=>x:2,36=23,75`
`=>x=23,75 .2,36`
`=>x=56,05`
Vậy `x=56,05`
Hãy giúp mọi người biết câu trả lời này thế nào?
Đáp án:
Giải thích các bước giải:
a)`x+5/6=3/8`
`x=3/8-5/6`
`x=-11/24`
b)2/3 x-1/2=5/6`
`2/3 x=4/3`
`x=4/3:2/3`
`x=2`
Vậy `x=2`
c)`4/9+7/3:x=1/5`
`7/3:x=-11/45`
`x=7/3: (-11/45)`
`x=-105/11`
d)`7,5 . 2,5+x:2,36=42,5`
`18,75+x:2,36=42,5`
`x:2,36=23,75`
`x=23,75 xx 2,36`
`x=56,05`
Hãy giúp mọi người biết câu trả lời này thế nào?
Bảng tin