

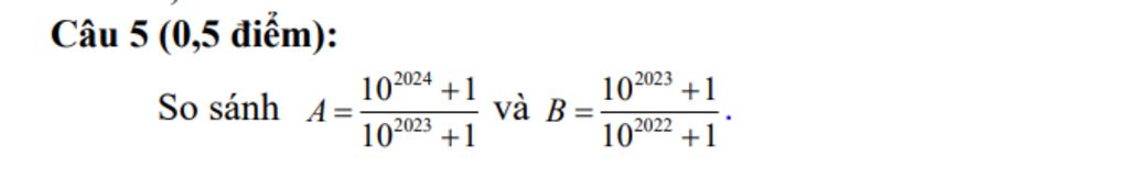
So sánh
A=$\frac{10^{2024} + 1}{10^{2023} + 1}$ và
B= $\frac{10^{2023} + 1}{10^{2022} + 1}$
Hãy luôn nhớ cảm ơn và vote 5*
nếu câu trả lời hữu ích nhé!
`@` Angelmare
Đáp án:
`A=(10^2024+1)/(10^2023+1)`
`1/10A=(10^2024+1)/(10^2024+10)`
`1/10A=(10^2024+10-9)/(10^2024+10)`
`1/10A=1-9/(10^2024+10)`
`B=(10^2023+1)/(10^2022+1)`
`1/10B=(10^2023+1)/(10^2023+10)`
`1/10B=(10^2023+10-9)/(10^2023+10)`
`1/10B=1-9/(10^2023+10)`
`-` T/c:
`10^2024+10 gt 10^2023+10`
`to 9/(10^2024+10) lt 9/(10^2023+10)`
`to 1-9/(10^2024+10) gt 1-9/(10^2023+10)`
`to 1/10A gt 1/10B`
`to A gt B`
Hãy giúp mọi người biết câu trả lời này thế nào?
`ttcolor{purple}{@thuyhien}`
Ta có:
`bbA = (10^2024 + 1)/(10^2023 + 1)`
`bbA = (10^2024 + 1)/(10^2023 + 1) . 1/10`
`bbA = (10^2024 + 1)/((10^2023 + 1) . 10)`
`bbA = (10^2024 + 1)/(10^2024 + 10)`
`bbA = (10^2024 + 10 - 9)/(10^2024 + 10)`
`bbA = (10^2024 + 10)/(10^2024 + 10) - 9/(10^2024 + 10)`
`bbA = 1 - 9/(10^2024 + 10)`
Ta có:
`bbB = (10^2023 + 1)/(10^2022 + 1)`
`bbA = (10^2023 + 1)/(10^2022 + 1) . 1/10`
`bbA = (10^2023 + 1)/((10^2022 + 1) . 10)`
`bbA = (10^2023 + 1)/(10^2023 + 10)`
`bbA = (10^2023 + 10 - 9)/(10^2023 + 10)`
`bbA = (10^2023 + 10)/(10^2023 + 10) - 9/(10^2023 + 10)`
`bbA = 1 - 9/(10^2023 + 10)`
Vì `9/(10^2024 + 10) < 9/(10^2023 + 10)`
`=> 1 - 9/(10^2024 + 10) > 1 - 9/(10^2023 + 10)`
`=> bbA > bbB`
Hãy giúp mọi người biết câu trả lời này thế nào?
Bảng tin