Tham Gia Group Dành Cho Lớp 9 - Ôn Thi Vào Lớp 10 Miễn Phí
im
H2 ở @KC. 11m kim loại M.
dkc.
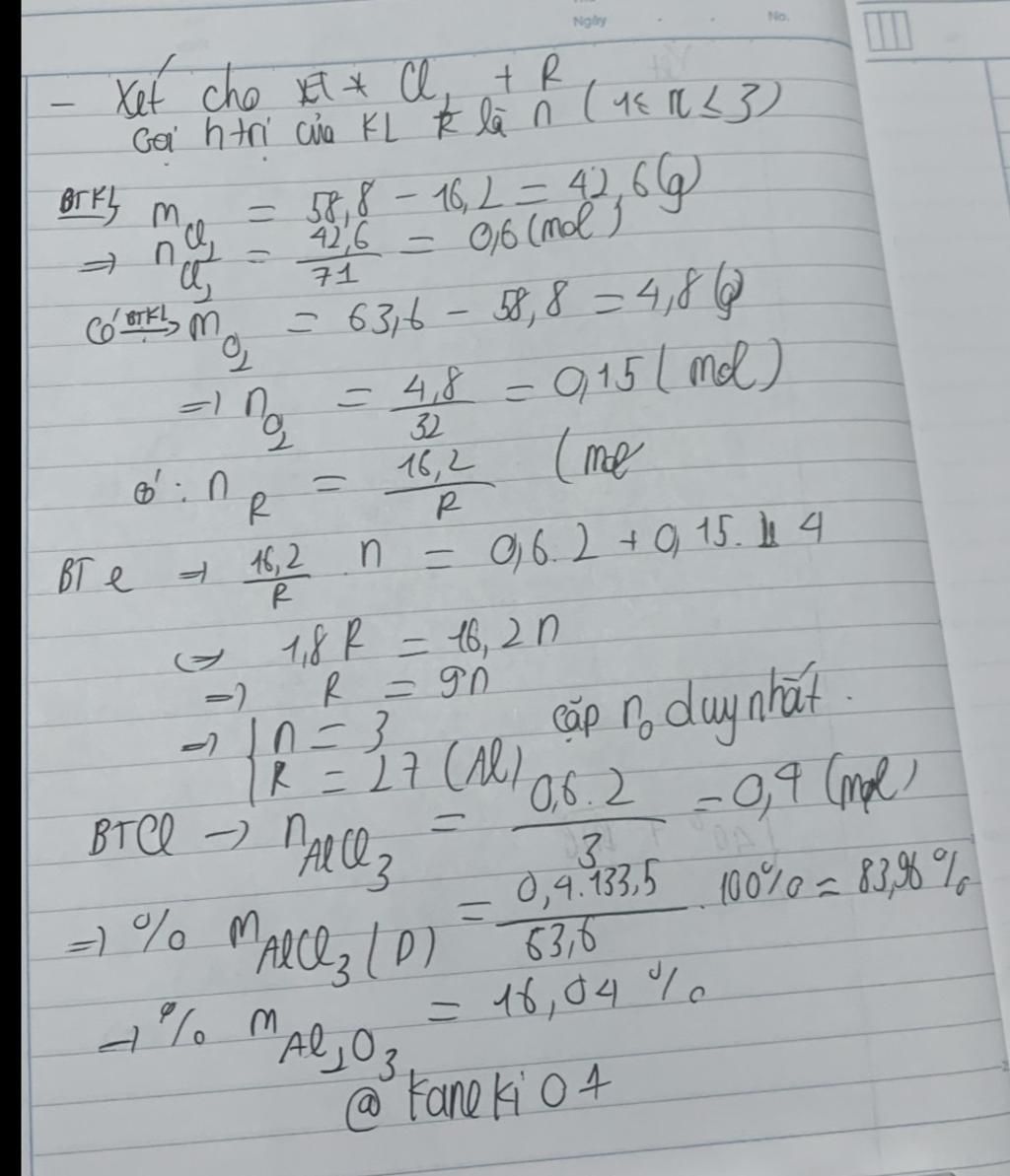
Câu 2: Cho Cl2 tác dụng với 16,2 gam kim loại R (chỉ có một hóa trị) thu được 58,8 gam chất rắn D. Cho O
dư tác dụng với chất rắn D đến phản ứng hoàn toàn, thu được 63,6 gam chất rắn E. Xác định kim loại R và
tính % khối lượng của mỗi chất trong
E.
391
1508
264
Dòng đầu tiên làm gì vầy, ko nhìn dc
494
11411
237
xét cho CL2 + R á cậu
2051
1675
1736
https://hoidap247.com/cau-hoi/7247161