Tham Gia Group Dành Cho Lớp 11 Chia Sẻ, Trao Đổi Tài Liệu Miễn Phí
Bài 21: Rút gọn biểu thức lượng giác
A=(1-sin² x).cot² x+(1-cot² x)
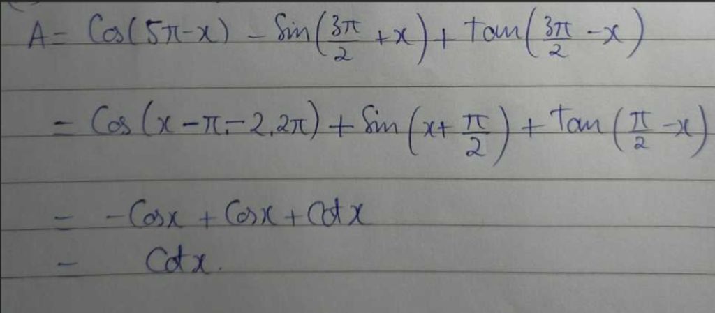
Bài 23: Rút gọn biểu thức lượng giác
3π
A = cos(5π-x) - sin
2
+x)+
3π
-+x+tan
X
2
Hướng dẫn: Sử dụng các công thức lượng giác
iên
quan đặc biệt.