

Hãy luôn nhớ cảm ơn và vote 5*
nếu câu trả lời hữu ích nhé!
Đáp án$+$Giải thích các bước giải:
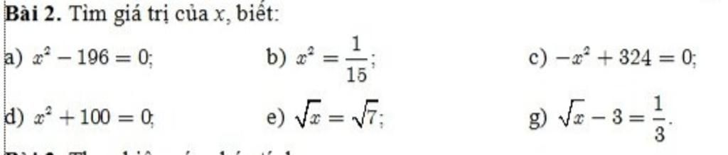
`a)x^2-196=0`
`=>x^2=196`
`=>x^2=14^2`
`=>x=±14`
`b)x^2=1/15`
`=>x^2=(1/5)^2`
`=>x=±1/5`
`c)-x^2+324=0`
`=>x^2=324`
`=>x=±18`
`d)x^2+100=0`
`=>x^2=-100`(vô lý)
`e)\sqrt[x]=\sqrt[7]`
`=>(\sqrt[x])^2=(sqrt[7])^2`
`=>x=7`
`g)\sqrt[x]-3=1/3`
`=>\sqrt[x]=10/3`
`=>(\sqrt[x])^2=(10/3)^2`
`=>x=100/9`
Hãy giúp mọi người biết câu trả lời này thế nào?
![]()
Đáp án:
`↓`
Giải thích các bước giải:
`a)x^2 -196=0`
`⇔x^2 =196`
`⇔x^2 =(±14)^2`
`⇔[(x=14),(x=-14):}`
Vậy `S={-14;14}`
-----------------------
`b) x^2 = 1/(15)`
`⇔x^2 =(± 1/(\sqrt{15}))^2`
`⇔[(x= 1/(\sqrt{15})),(x = -1/(\sqrt{15})):}`
Vậy `S= { 1/(\sqrt{15}) ; -1/(\sqrt{15})}`
-----------------------
`c)-x^2 +324=0`
`⇔-x^2 =-324`
`⇔x^2 =324`
`⇔x^2 =(±18)^2`
`⇔[(x=18),(x=-18):}`
Vậy `S={-18;18}`
----------------------
`d)x^2 +100=0`
`⇔x^2 = -100` (vô lý)
Vậy phương trình vô nghiệm
----------------------
`e) \sqrt{x} = \sqrt{7}` (ĐK : `x≥0`)
`⇔(\sqrt{x})^2 = (\sqrt{7})^2`
`⇔x=7` (thỏa mãn)
Vậy `S={7}`
----------------------
`g) \sqrt{x} - 3= 1/3` (ĐK : `x≥0`)
`⇔\sqrt{x} = 1/3 + 3`
`⇔\sqrt{x} = (10)/3`
`⇔(\sqrt{x})^2 = (10/3)^2`
`⇔x = (100)/9` (thỏa mãn)
Vậy `S= {(100)/9}`
Hãy giúp mọi người biết câu trả lời này thế nào?
![]()
Bảng tin