Vui lòng chỉ chọn một câu hỏi
Hoidap247.com Nhanh chóng, chính xác
+
Danh mục mới
0
16
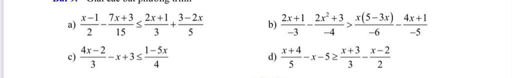
Giúp tớ giải bài này với ạ
Xem thêm:
Bảng tin
Gửi yêu cầu Hủy