

giúp em với ạaqaaaasdndndm
Hãy luôn nhớ cảm ơn và vote 5*
nếu câu trả lời hữu ích nhé!
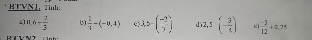
`a)`
`0,6 + 2/3`
`= 6/10 + 2/3`
`= 3/5 + 2/3`
`= 9/15 + 10/15`
`= 19/15`
`b)`
`1/3 - (-0,4)`
`= 1/3 + 0,4`
`= 1/3 + 4/10`
`= 1/3 + 2/5`
`= 5/15 + 6/15`
`= 11/15`
`c)`
`3,5 - ((-2)/7)`
`= 35/10 + 2/7`
`= 7/2 + 2/7`
`= 49/14 + 4/14`
`= 53/14`
`d)`
`2,5 - (-3/4)`
`= 25/10 + 3/4`
`= 5/2 + 3/4`
`= 10/4 + 3/4`
`= 13/4`
`e)`
`(-5)/12 + 0,75`
`= (-5)/12 + 75/100`
`= (-5)/12 + 3/4`
`= (-5)/12 + 9/12`
`= 4/12`
`= 1/3`
Hãy giúp mọi người biết câu trả lời này thế nào?
Bảng tin