Vui lòng chỉ chọn một câu hỏi
Hoidap247.com Nhanh chóng, chính xác
+
Danh mục mới
23
1566
47
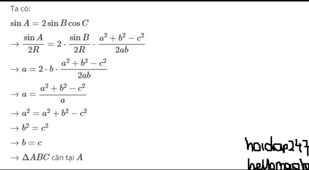
Cho tam giác ABC thoả mãn sinA=2sinB.cosC . Chứng minh rằng tam giác ABC là tam giác cân
Hãy luôn nhớ cảm ơn và vote 5* nếu câu trả lời hữu ích nhé!
31
13933
46
Hãy giúp mọi người biết câu trả lời này thế nào?
239
127
118
https://hoidap247.com/cau-hoi/7223784
giúp vs ạ
Bảng tin
Gửi yêu cầu Hủy
239
127
118
https://hoidap247.com/cau-hoi/7223784
239
127
118
giúp vs ạ