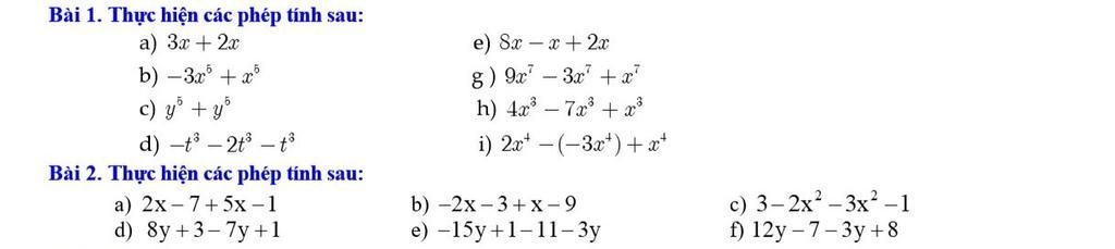
Bài 1. Thực hiện các phép tính sau:
a) 3x + 2x
b) -3x+x
c) y + yo
d) -t³ -2t-t³
Bài 2. Thực hiện các phép tính sau:
a) 2x
7+5x-1
d) 8y+3-7y+1
e) 8x-x+2x
8) 9x-3x+x²
h) 4x37x3 + x³
i) 2x-(-3x)+x+
b) -2x-3+x-9
e) -15y+1-11-3y
c) 3-2x-3x²-1
f) 12y-7-3y+8