

Hãy luôn nhớ cảm ơn và vote 5*
nếu câu trả lời hữu ích nhé!
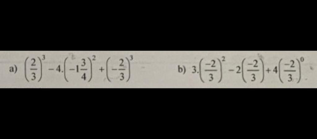
Đáp án+Giải thích các bước giải:
a,
`(2/3)^3-4.(-1 3/4)^2+(-2/3)^3`
`=[(2/3)^3+(-2/3)^3]-4.(-7/4)^2`
`=(2^2/3^3- 2^2/3^2)-4. 49/16`
`=0-49/4`
`=-49/4`
b,
`3.(-2/3)^2-2.(-2/3)+4.(-2/3)^0`
`=[3.(-2/3)^2-2.(-2/3)]+1.4`
`=(-2/3)(3. (-2)/3-2)+14`
`=(-2/3). -4+4`
`=8/3+4`
`=20/3`
Hãy giúp mọi người biết câu trả lời này thế nào?
Đáp án+Giải thích các bước giải`:`
`(2/3)^3-4(-1 3/4)^2+(-2/3)^3`
`=8/27-4*(-7/4)^2-8/27`
`=(8/27-8/27)-4*49/16`
`=-12,25`
`3(-2/3)^2-2(-2/3)+4(-2/3)^0`
`=3*4/9+4/3+4`
`=4/3+4/3+4`
`=8/3+4`
`=20/3`
Hãy giúp mọi người biết câu trả lời này thế nào?
Bảng tin