Đăng nhập để hỏi chi tiết


Hãy luôn nhớ cảm ơn và vote 5*
nếu câu trả lời hữu ích nhé!
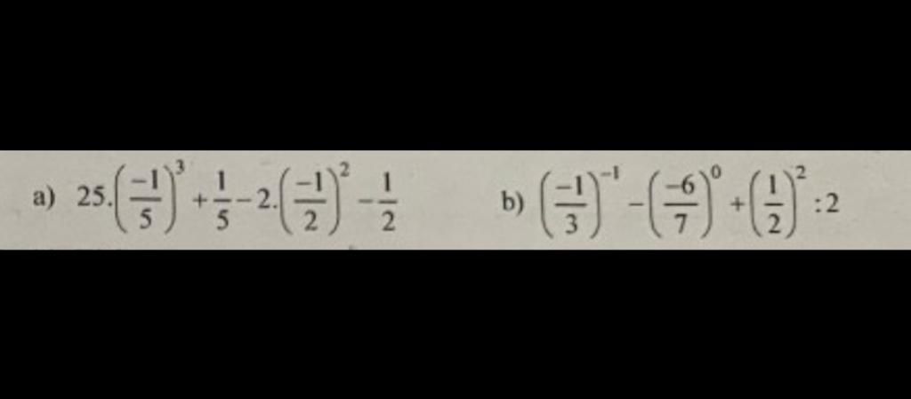
`a)`
`25.(-1/5)^3 + 1/5 - 2( -1/2 )^2 - 1/2`
`= 25 . ( -1/125) + 1/5 - 1/2 - 1/2`
`= -1/5 + 1/5 - 1/2 - 1/2`
`= -1`
`b)`
`(-1/3)^(-1) - ( -6/7)^0 + ( 1/2 )^2 : 2`
`= -3 - 1 + 1/8`
`= -31/8`
`@Tobi`
Hãy giúp mọi người biết câu trả lời này thế nào?
Bảng tin