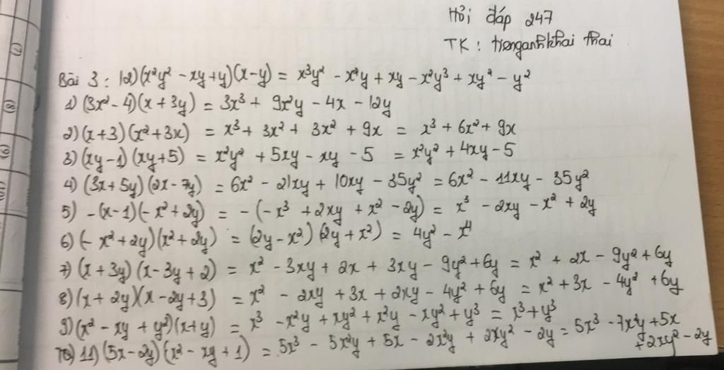
| Bài 3: Thực hiện phép tính ( Nhân đa thức với đa thức)
1) (3x²-4)(x+3y)
4) (3x+5y)(2x-7y)
7) (x+3y)(x-3y+2)
10) (x² − xy + y²)(x + y)
2) (x+3)(x²+3x)
5) -(x-1)(-x²+2y)
8) (x+2y)(x-2y+3)
11) (5x-2y)(x²-xy+1)
3) (xy-1)(xy+5)
6) (−x²+2y)(x²+2y)
9) (x² −xy + y²)(x+y)
-
12) (x² y² − xy + ...
Xem thêm
1
107
0
cảm ơn nhé bồ
71
5452
37
ok