

Hãy luôn nhớ cảm ơn và vote 5*
nếu câu trả lời hữu ích nhé!
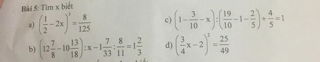
`a)` `(1/2-2x)^3=8/125`
`=>(1/2-2x)^3=(2/5)^3`
`=>1/2-2x=2/5`
`=>2x=1/10`
`=>x=1/20`
Vậy `x=1/20`$\\$
`b)` `(12 7/8-10 13/18):x-1 7/33:8/11=1 2/3`
`=>155/72:x-5/3=5/3`
`=>155/72:x=10/3`
`=>x=31/48`
Vậy `x=31/48`$\\$
`c)` `(1-3/10-x):(19/10-1-2/5)+4/5=1`
`=>(7/10-x):1/2=1/5`
`=>7/10-x=1/10`
`=>x=3/5`
Vậy `x=3/5`$\\$
`d)` `(3/4x-2)^2=25/49`
`=>3/4x-2=5/7` hoặc `3/4x-2=-5/7`
`=>3/4x=19/7` hoặc `3/4x=9/7`
`=>x=76/21` hoặc `x=12/7`
Vậy `x in{76/21;12/7}`
Hãy giúp mọi người biết câu trả lời này thế nào?
![]()
Bảng tin
3
204
2
Ca c là sao ạ
3
204
2
Thiếu 4/5