

Hãy luôn nhớ cảm ơn và vote 5*
nếu câu trả lời hữu ích nhé!
Đáp án+Giải thích các bước giải:
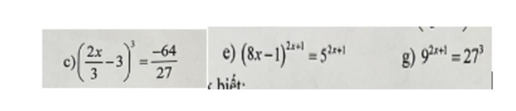
c,
`((2x)/3-3)^3=(-64/27)`
`⇒((2x)/3-3)^3=(-4/3)^3`
`⇒(2x)/3-3=-4/3`
`⇒(2x)/3=-4/3+3`
`⇒(2x)/3=5/3`
`⇒2x=5/3. 3`
`⇒2x=5`
`⇒x=5/2`
Vậy `x=5/2`
e,
`(8x-1)^(2x+1)=5^(2x+1)`
`⇒8x-1=5`
`⇒8x=6`
`⇒x=3/4`
Vậy `x=3/4`
g,
`9^(2x+1)=27^3`
`⇒(3^2)^(2x+1)=(3^3)^3`
`⇒3^(4x+2)=3^9`
`⇒4x+2=9`
`⇒4x=7`
`⇒x=7/4`
Vậy `x=7/4`
Hãy giúp mọi người biết câu trả lời này thế nào?
![]()
`c. (2x/3 - 3)^3 = -64/27`
`(2x/3 - 3)^3 = (-4/3)^3`
`2x/3 - 3 = -4/3`
`2x/3 = -4/3 + 3`
`2x/3 = 5/3`
`2x : 3 = 5/3`
`2x = 5/3 * 3`
`2x = 5`
`x = 5 : 2`
`x = 5/2`
`e.` $(8x-1)^{2x+1}$ `=` $5^{2x+1}$
`8x-1 = 5`
`8x = 5+1`
`8x = 6`
`x = 6 : 8`
`x = 3/4`
`g.` $9^{2x+1}$ `=` `27^3`
$(3^2)^{2x+1}$ `=` `( 3^3 )^3`
$3^{2.(2x+1)}$ `=` $3^{3.3}$
$3^{4x+2}$ `= 3^9`
`4x + 2 = 9`
`4x = 9-2`
`4x = 7`
`x = 7/4`
`@banhbeogacha`
Hãy giúp mọi người biết câu trả lời này thế nào?
Bảng tin
2812
2959
1589
a ơi :>
5160
2732
4573
sao e
2812
2959
1589
cho em phó nhóm trong nhóm zalo đi cho tiện
5160
2732
4573
ok e
2812
2959
1589
nhanh đi a
222
4944
173
câu g sai kìa b