

Hãy luôn nhớ cảm ơn và vote 5*
nếu câu trả lời hữu ích nhé!
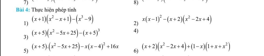
`1)` `(x+1)(x^2-x+1)-(x^3-9)`
`=x^3+1-x^3+9`
`=10`$\\$
`2)` `x(x-1)^2-(x+2)(x^2-2x+4)`
`=x(x^2-2x+1)-x^3-8`
`=x^3-2x^2-x-x^3-8`
`=-2x^2-x-8`$\\$
`3)` `(x+5)(x^2-5x+25)-(x+5)^3`
`=x^3+125-x^3-15x^2-75x-125`
`=-15x^2-75x`$\\$
`5)` `(x+5)(x^2-5x+25)-x(x-4)^2+16x`
`=x^3+125-x(x^2-8x+16)+16x`
`=x^3+125-x^3+8x^2-16x+16x`
`=8x^2+125`$\\$
`6)` `(x+2)(x^2-2x+4)+(1-x)(1+x+x^2)`
`=x^3+8+1-x^3`
`=9`
Hãy giúp mọi người biết câu trả lời này thế nào?

Đáp án:
`1) (x + 1)(x^2 - x + 1) - (x^3 - 9)`
`= x^3 + 1 - x^3 + 9`
`= 10`
`2) x(x - 1)^2 - (x + 2)(x^2 - 2x + 4)`
`= x(x^2 - 2x + 1) - x^3 - 8`
`= x^3 - 2x^2 + x - x^3 - 8`
`= -2x^2 + x - 8`
`3) (x + 5)(x^2 - 5x + 25) - (x + 5)^3`
`= x^3 + 125 - x^3 - 15x^2 - 75x - 125`
`= -15x^2 - 75x`
`5) (x + 5)(x^2 - 5x + 25) - x(x - 4)^2 + 16x`
`= x^3 + 125 - x(x^2 - 8x + 16) + 16x`
`= x^3 + 125 - x^3 + 8x^2 - 16x + 16x`
`= 8x^2 + 125`
`6) (x + 2)(x^2 - 2x + 4) + (1 - x)(1 + x + x^2)`
`= x^3 + 8 + 1 - x^3`
`= 9`
Hãy giúp mọi người biết câu trả lời này thế nào?

Bảng tin