

Giúp mik với ạ cảm ơn 
Hãy luôn nhớ cảm ơn và vote 5*
nếu câu trả lời hữu ích nhé!
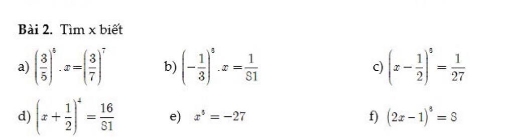
`a) (3/5)^5 . x = (3/7)^7`
`x= (3/7)^7 : (3/5)^5`
`x= (3/7)^7 . (5/3)^5`
`x= 28125/49`
`b) (-1/3)^8 . x = 1/81`
`x = 1/(3^3) : (1/3)^8`
`x = 1/(3^3) . 3^8`
`x = 3^5 = 243`
`c) (x-1/2)^8 = 1/27`
`x-1/2 = +- \root{8}{27}`
`x = +- \root{8}{27} + 1/2`
`d) (x+1/2)^4 = 16/81`
`(x+1/2)^4 = (2/3)^4`
`x+1/2=2/3`
`x=2/3-1/2=1/6`
`e) x^8 = -27`
Vì `x^8 >= 0 (AA x in RR)`
mà `-27 < 0`
`=> x` không có nghiệm `x` thỏa mãn
`f) (2x-1)^8 = 8`
`2x-1 = +- \root{8}{8}`
`x = (+- \root{8}{8} + 1)/2`
Hãy giúp mọi người biết câu trả lời này thế nào?
Bảng tin