

Hãy luôn nhớ cảm ơn và vote 5*
nếu câu trả lời hữu ích nhé!
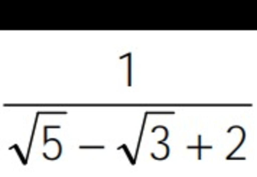
`1/(\sqrt{5}-\sqrt{3}+2)`
`=((\sqrt{5}-\sqrt{3})-2)/([(\sqrt{5}-\sqrt{3})+2][(\sqrt{5}-\sqrt{3})-2])`
`=(\sqrt{5}-\sqrt{3}-2)/((\sqrt{5}-\sqrt{3})^2 -2^2)`
`=(\sqrt{5}-\sqrt{3}-2)/(5-2\sqrt{15}+3-4)`
`=(\sqrt{5}-\sqrt{3}-2)/(4-2\sqrt{15})`
`=((\sqrt{5}-\sqrt{3}-2)(4+2\sqrt{15}))/((4-2\sqrt{15})(4+2\sqrt{15}))`
`=(4\sqrt{5}+10\sqrt{3}-4\sqrt{3}-6\sqrt{5}-8-4\sqrt{15})/(4^2 - (2\sqrt{15})^2)`
`=(3\sqrt{3}-\sqrt{5}-2\sqrt{15}-4)/(-22)`.
Hãy giúp mọi người biết câu trả lời này thế nào?
Bảng tin