

Hãy luôn nhớ cảm ơn và vote 5*
nếu câu trả lời hữu ích nhé!
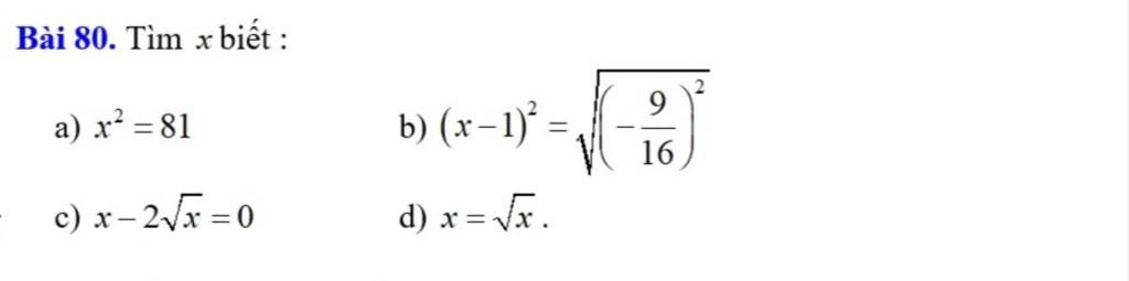
`a)x^2=81`
`<=>x=+-9`
`b)(x-1)^2=\sqrt{(-9/16)^2}`
`<=>(x-1)^2=|9/16|`
`<=>(x-1)^2=9/16`
`<=>x-1=+-3/4`
`<=>x-1=3/4` hoặc `x-1=-3/4`
`<=>x=7/4` hoặc `x=1/4`
`c)x-2\sqrtx=0`
`<=>\sqrtx(\sqrtx-2)=0`
`<=>\sqrtx=0` hoặc `\sqrtx-2=0`
`<=>x=0` hoặc`x=4`
`d)x=\sqrtx`
`<=>\sqrtx(\sqrtx-1)=0`
`<=>\sqrtx=0` hoặc `\sqrtx-1=0`
`<=>x=0` hoặc `x=1`
Hãy giúp mọi người biết câu trả lời này thế nào?
`a)``x^2=81`
`=>x^2=(+-9)^2`
`=>[(x=9),(x=-9):}`
Vậy `x in {9;-9}`
`b)``(x-1)^2=sqrt{(-9/16)^2}`
`=>(x-1)^2=|-9/16|`
`=>(x-1)^2=9/16`
`=>(x-1)^2=(+-3/4)^2`
`=>[(x-1=3/4),(x-1=-3/4):}`
`=>[(x=7/4),(x=1/4):}`
Vậy `x in {7/4;1/4}`
`c)``x-2sqrt{x}=0`
`=>sqrt{x}(sqrt{x}-2)=0`
`=>[(sqrt{x}=0),(sqrt{x}-2=0):}`
`=>[(x=0),(sqrt{x}=2):}`
`=>[(x=0),(x=4):}`
Vậy `x in {0;4}`
`d)``x=sqrt{x}`
`=>x-sqrt{x}=0`
`=>sqrt{x}(sqrt{x}-1)=0`
`=>[(sqrt{x}=0),(sqrt{x}-1=0):}`
`=>[(x=0),(sqrt{x}=1):}`
`=>[(x=0),(x=1):}`
Vậy `x in {0;1}`
Hãy giúp mọi người biết câu trả lời này thế nào?
Bảng tin