

Hãy luôn nhớ cảm ơn và vote 5*
nếu câu trả lời hữu ích nhé!
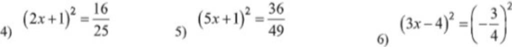
`4)`
`(2x+1)^2=16/25`
`(2x+1)^2=(4^2)/(5^2)`
`(2x+1)^2=(4/5)^2`
Trường hợp `1` :
`2x+1=4/5`
`2x=4/5-1`
`2x=-1/5`
`x=-1/5:2`
`x=-1/10`
Trường hợp `2` :
`2x+1=-4/5`
`2x=-4/5-1`
`2x=-9/5`
`x=-9/5:2`
`x=-9/10`
Vậy `x=-1/10` hoặc `x=-9/10`
`5)`
`(5x+1)^2=36/49`
`(5x+1)^2=(6^2)/(7^2)`
`(5x+1)^2=(6/7)^2`
Trường hợp `1` :
`5x+1=6/7`
`5x=6/7-1`
`5x=-1/7`
`x=-1/7:5`
`x=-1/35`
Trường hợp `2` :
`5x+1=-6/7`
`5x=-6/7-1`
`5x=-13/7`
`x=-13/7:5`
`x=-13/35`
Vậy `x=-1/35` hoặc `x=-13/35`
`6)`
`(3x-4)^2=(-3/4)^2`
Trường hợp `1` :
`3x-4=-3/4`
`3x=-3/4+4`
`3x=13/4`
`x=13/4:3`
`x=13/12`
Trường hợp `2` :
`3x-4=3/4`
`3x=3/4+4`
`3x=19/4`
`x=19/4:3`
`x=19/12`
Vậy `x=13/12` hoặc `x=19/12`
Hãy giúp mọi người biết câu trả lời này thế nào?
`4) (2x + 1)^2 = 16/25`
`(2x + 1)^2 = (+-4/5)^2`
`2x + 1 = +-4/5`
`TH1: 2x + 1 = 4/5`
`2x = 4/5 - 1`
`2x = -1/5`
`x = -1/10`
`TH2: 2x + 1 = -4/5`
`2x = -4/5 - 1`
`2x = -9/5`
`x = -9/10`
`Vậy: x ∈ {-1/10; -9/10}`
`------`
`5) (5x + 1)^2 = 36/49`
`(5x + 1)^2 = (+-6/7)^2`
`5x + 1 = +-6/7`
`TH1: 5x + 1 = 6/7`
`5x = 6/7 - 1`
`5x = -1/7`
`x = -1/35`
`TH2: 5x + 1 = -6/7`
`5x = -6/7 - 1`
`5x = -13/7`
`x = -13/35`
`Vậy: x ∈ {-1/35; -13/35}`
`------`
`6) (3x - 4)^2 = (-3/4)^2`
`(3x - 4)^2 = (+-3/4)^2`
`3x - 4 = +-3/4`
`TH1: 3x - 4 = 3/4`
`3x = 3/4 + 4`
`3x = 19/4`
`x = 19/12`
`TH2: 3x - 4 = -3/4`
`3x = -3/4 + 4`
`3x = 13/4`
`x = 13/12`
`Vậy: x ∈ {19/12; 13/12}`
Hãy giúp mọi người biết câu trả lời này thế nào?
Bảng tin
462
270
462
chào