

111111111111111111111111111111111111111111111
Hãy luôn nhớ cảm ơn và vote 5*
nếu câu trả lời hữu ích nhé!
$#Muzan$
`a.)`
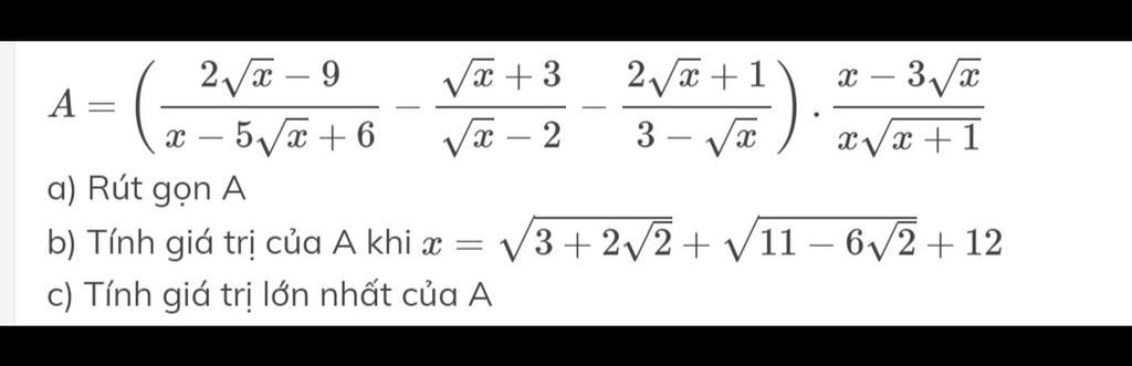
`A=((2sqrtx-9)/(x-5sqrtx+6)-(sqrtx+3)/(sqrtx-2)-(2sqrtx+1)/(3-sqrtx)).(x-3sqrtx)/(xsqrtx+1)`
`ĐK:xne4 ,xne9,x>=0`
`A=((2sqrtx-9)/((sqrtx-2).(sqrtx-3))-(sqrtx+3)/(sqrtx-2)+(2sqrtx+1)/(sqrtx-3)).(sqrtx .(sqrtx-3))/(xsqrtx+1)`
`A=(2sqrtx-9-(sqrtx+3)(sqrtx-3)+(2sqrtx+1)(sqrtx-2))/((sqrtx-2)(sqrtx-3)). (sqrtx(sqrtx-3))/(xsqrtx+1)`
`A=(2sqrtx-9-x+9+2x-3sqrtx-2)/(sqrtx-2) . (sqrtx)/(xsqrtx+1)`
`A=(x-sqrtx-2)/(sqrtx-2) . (sqrtx)/((sqrtx+1)(x-sqrtx+1))`
`A=((sqrtx-2)(sqrtx+1))/(sqrtx-2) . (sqrtx)/((sqrtx+1)(x-sqrtx+1))`
`A=(sqrtx)/(x-sqrtx+1)`
Vậy `A=(sqrtx)/(x-sqrtx+1)` tại `xne4,xne9,x>=0`
`b.)`
Ta có `x=sqrt(3+2sqrt2)+sqrt(11-6sqrt2)+12`
`=sqrt((sqrt2+1)^2) +sqrt((3-sqrt2)^2)+12`
`=|sqrt2+1|+|3-sqrt2|+12`
`=sqrt2+1+3-sqrt2+12`
`=16`
Tại `x=16` TM ĐKXĐ
`A=(sqrt16)/(16-sqrt16+1)=4/13`
Vậy tại `x=16` thì `A=4/13`
`c.)`
Ta có `A-1=(sqrtx)/(x-sqrtx+1)-1`
`=(sqrtx-x+sqrtx-1)/(x-sqrtx+1)`
`=-(x-2sqrtx+1)/(x-sqrtx+1)`
`=-((sqrtx-1)^2)/(x-sqrtx+1)`
Mà `-(sqrtx-1)^2<=0AAx`
`x-sqrtx+1=(sqrtx-1/2)^2+3/4>=3/4>0AAx`
Hay `-((sqrtx-1)^2)/(x-sqrtx+1)<=0`
Hay `A-1<=0`
Hay `A<=1`
`Max_A=1` khi `sqrtx-1=0=>sqrtx=1=>x=1` ( Thỏa mãn )
Vậy `Max_A=1` khi `x=1`
Hãy giúp mọi người biết câu trả lời này thế nào?
![]()
Bảng tin
2246
1745
1538
a quên mất chưa hỏi anh cái nài
2824
665
2496
j em
2246
1745
1538
nếu e k là e anh thì anh có thik e k ?:v
2824
665
2496
em là e sao lại ko là em đc
2824
665
2496
ytâm ah ko bỏ e đâu
2824
665
2496
gọi là có mặt lìn trừ lúc off =)
2246
1745
1538
ò,hihi ^^
2824
665
2496
=)