

Hãy luôn nhớ cảm ơn và vote 5*
nếu câu trả lời hữu ích nhé!
Đáp án `+` Giải thích các bước giải:
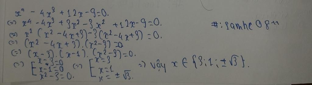
`f) x^4-4x^3+12x-9=0`
`=> x^4-9-4x^3+12x=0`
`=>(x^2)^2 - 3^2 - 4x^3+12x=0`
`=>(x^2-3)(x^2+3)-4x(x^2-3)=0`
`=>(x^2-3)(x^2+3-4x)=0`
`=>(x^2-3)(x^2-x-3x+3)=0`
`=>(x^2-3)x(x-1)-3(x-1)=0`
`=>(x^2-3)(x-3)(x-1)=0`
`=>` $\left[\begin{matrix} x^2-3=0\\ x-3=0 \\x-1=0\end{matrix}\right.$
`=>` $\left[\begin{matrix} x=± \sqrt{3}\\ x=3 \\ x=1\end{matrix}\right.$
Vậy `x ∈ { ±` \sqrt{3} `; 3 ; 1}`.
`h) x^4-4x^3+3x^2+4x-4=0`
`=>x^4-4x^3+4x^2-x^2+4x-4=0`
`=>x^2(x^2-4x+4)-(x^2-4x+4)=0`
`=>(x^2-1)(x^2-4x+4)=0`
`=>(x-1)(x+1)(x-2)^2=0`
`=>`$\left[\begin{matrix} x-1=0\\ x+1=0 \\ (x-2)^2 = 0\end{matrix}\right.$
`=>` $\left[\begin{matrix} x=1\\ x=-1 \\ x=2\end{matrix}\right.$
Vậy `x ∈ {1;-1;2}`.
Hãy giúp mọi người biết câu trả lời này thế nào?

Bảng tin
107
2853
71
thế giờ tớ làm đc mấy nhiệm vụ trong nhóm đc khum?
2222
11948
1491
cái đó chỉ có trg mới bật đc và cái mà cậu bật đc thì có đơn thương độc mã và đầu xuôi đuôi lọt ah
107
2853
71
tớ chỉ làm đc 2 cái ý đúng k?
2222
11948
1491
uk
107
2853
71
okiii
107
2853
71
cậu ơi làm thế nào để đc xác thực v ạ =))))
2222
11948
1491
cái đó phải tùy admin thôi chứ mik ko bt
107
2853
71
ồ okii