

Hãy luôn nhớ cảm ơn và vote 5*
nếu câu trả lời hữu ích nhé!
Đáp án+Giải thích các bước giải:
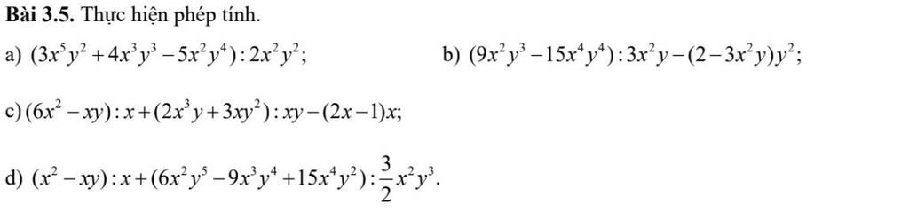
$a) (3x^5y^2+4x^3y^3-5x^2y^4):2x^2y^2$
$=\dfrac{3}{2}x^3+2xy-\dfrac{5}{2}y^2$
$b) (9x^2y^3-15x^4y^4):3x^2y-(2-3x^2y)y^2$
$= 3y^2-15x^2y^3-2y^2+3x^2y^3$
$= y^2-12x^2y^3$
$c) (6x^2-xy):x+(2x^3y+3xy^2):xy-(2x-1)x$
$= 6x-y+2x^2+3y-2x^2+x$
$=7x+2y$
$d)(x^2-xy):x+(6x^2y^5-9x^3y^4+15x^4y^2):\dfrac{3}{2}x^2y^3$
$=x-y+4y^2-6xy+10x^2\dfrac{1}{y}$
#tuan789
Hãy giúp mọi người biết câu trả lời này thế nào?
Bảng tin