

giúp em với ạ em cảm ơn
Hãy luôn nhớ cảm ơn và vote 5*
nếu câu trả lời hữu ích nhé!
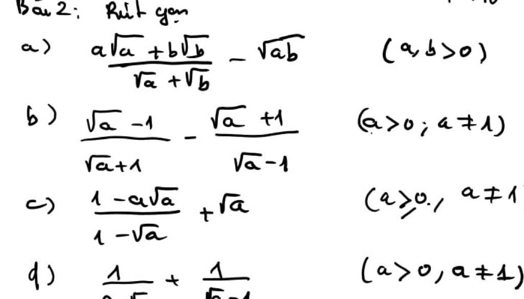
a) Với `a,b > 0`
`(a\sqrta+b\sqrtb)/(\sqrta+\sqrtb) - \sqrt(ab)`
`=((\sqrta+\sqrtb)(a+\sqrt(ab)+b))/(\sqrta+\sqrtb) - \sqrt(ab)`
`=a+\sqrt(ab) +b-\sqrt(ab)`
`=a+b`
b) Với `a > 0, a ne 1`
`(\sqrta-1)/(\sqrta+1) - (\sqrta+1)/(\sqrta-1)`
`=((\sqrta-1)^2)/((\sqrta-1)(\sqrta+1)) - ((\sqrta+1)^2)/((\sqrta-1)(\sqrta+1))`
`=((\sqrta-1)^2 - (\sqrta+1)^2)/((\sqrta-1)(\sqrta+1))`
`=(a-2\sqrta+1 - (a+2\sqrta+1))/((\sqrta-1)(\sqrta+1))`
`=(a-2\sqrta+1 -a-2\sqrta-1)/((\sqrta-1)(\sqrta+1))`
`=(-4\sqrta)/(a-1)`
c) Với `a >= 0 , a ne 1`
`(1-a\sqrta)/(1-\sqrta) +\sqrta`
`=((1-\sqrta)(1+\sqrta+a))/(1-\sqrta) + \sqrta`
`=1+\sqrta+a+\sqrta`
`=1+2\sqrta+a `
Hãy giúp mọi người biết câu trả lời này thế nào?
Bảng tin
2
103
1
https://hoidap247.com/cau-hoi/7198619
2
103
1
giúp mik câu này dc ko
3253
2621
2665
Bạn đưa số bên kia qua Rút gọn xem