

Hãy luôn nhớ cảm ơn và vote 5*
nếu câu trả lời hữu ích nhé!

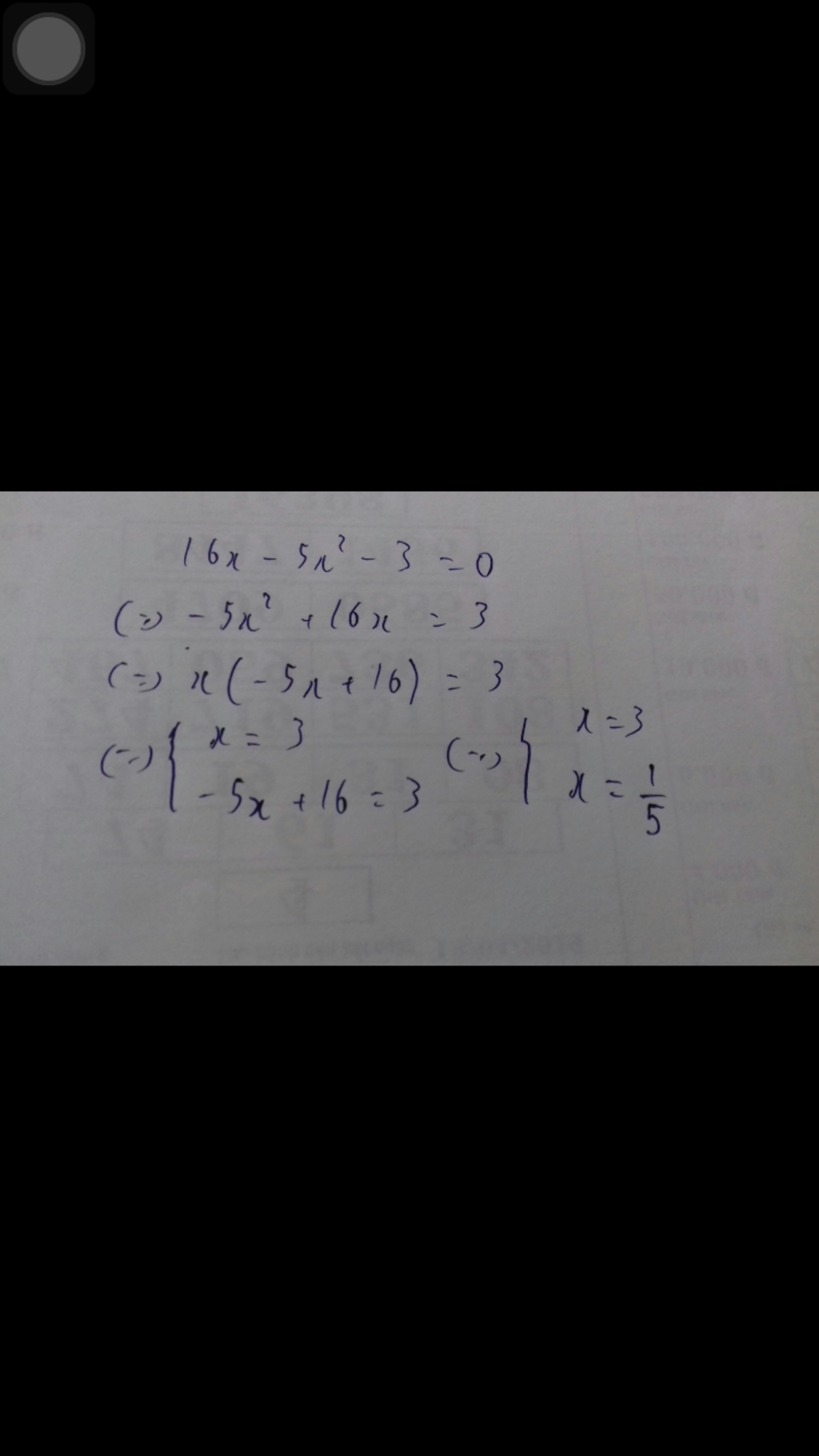
Đáp án:
\({x = 3;\,\,x = \frac{1}{5}}\)
Giải thích các bước giải:
Chào bạn, bạn tham khảo nhé:
\(\begin{array}{l}
16x - 5{x^2} - 3 = 0\\
\Leftrightarrow 15x - 5{x^2} + x - 3 = 0\\
\Leftrightarrow 5x\left( {3 - x} \right) + \left( {x - 3} \right) = 0\\
\Leftrightarrow \left( {x - 3} \right)\left( {1 - 5x} \right) = 0\\
\Leftrightarrow \left[ \begin{array}{l}
x - 3 = 0\\
1 - 5x = 0
\end{array} \right. \Leftrightarrow \left[ \begin{array}{l}
x = 3\\
x = \frac{1}{5}
\end{array} \right.
\end{array}\)
Hãy giúp mọi người biết câu trả lời này thế nào?
Bảng tin