Đăng nhập để hỏi chi tiết


Hãy luôn nhớ cảm ơn và vote 5*
nếu câu trả lời hữu ích nhé!
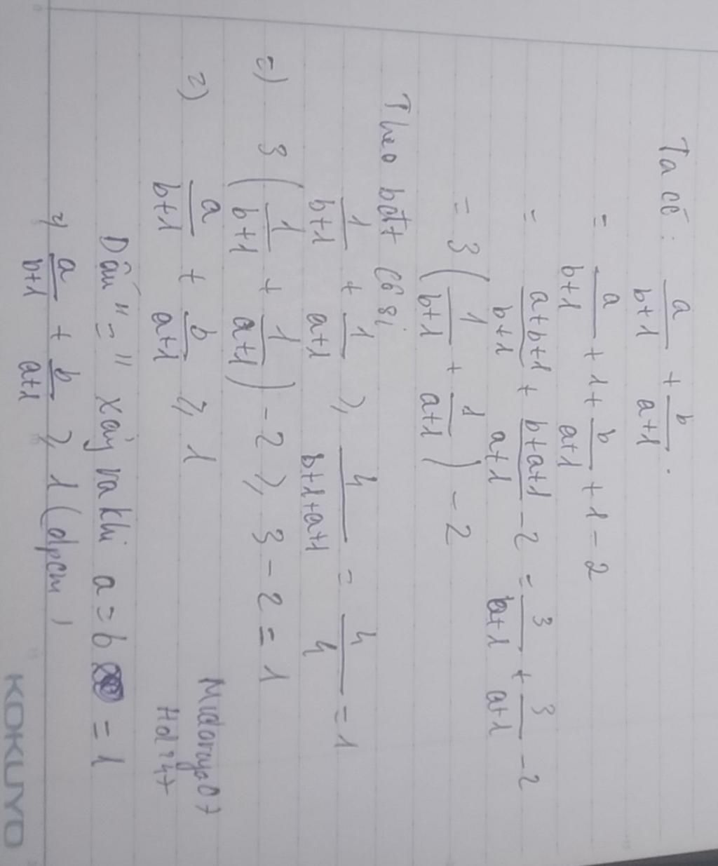
Ta có : `a/(b+1)+b/(a+1)=(a/(b+1)+1)+(b/(a+1)+1)-2=(a+b+1)/(b+1)+(a+b+1)/(a+1)-2`
`=3/(a+1)+3/(b+1)-2=3(1/(a+1)+1/(b+1))-2`
`>=3 . 4/(a+1+b+1)-2=12/(a+b+2)-2=12/4-2=1` ( Cauchy-Schwarz )
Dấu "=" xảy ra `<=>a=b=1`
Vậy `a/(b+1)+b/(a+1)>=1`
Hãy giúp mọi người biết câu trả lời này thế nào?

Bảng tin
11
958
16
ban ui, onl ko ạ, cho mình hỏi bài bất này với ạ
11
958
16
https://hoidap247.com/cau-hoi/7220907
11
958
16
mình cảm ơn TT
2285
19835
2297
để mih xem