

Hãy luôn nhớ cảm ơn và vote 5*
nếu câu trả lời hữu ích nhé!
`***`$Arianne$
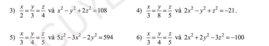
`3)`
Theo đề bài, ta có: `x/2 = y/3 = z/4` và `x^2 - y^2 + 2z^2 = 108`
Áp dụng tính chất của dãy tỉ số bằng nhau, ta có:
`x/2 = y/3 = z/4 = (x^2 - y^2 + 2z^2)/(2^2 - 3^2 + 2.4^2) = 108/27 = 4`
$\begin{cases} x/2 = 4 => x = 4 . 2 => x = 8\\y/3 = 4 => y = 4 . 3 => y =12\\z/4 = 4 => z = 4 . 4 => z = 16 \end{cases}$
Vậy `x = 8; y = 12; z = 16`
`_` `_` `_` `_` `_` `_` `_` `_` `_` `_` `_` `_` `_` `_`
`4)`
Theo đề bài, ta có: `x/3 = y/8 = z/5` và `2x^2 - y^2 + z^2 = -21`
Áp dụng tính chất của dãy tỉ số bằng nhau, ta có:
`x/3 = y/8 = z/5 = (2x^2 - y^2 + z^2)/(2.3^2 - 8^2 + 5^2) = -21/1 = -21`
$\begin{cases} x/3 = -21 => x = -21 . 3 => x = -63\\y/8 = -21 => y = -21 . 8 => y =-168\\z/5 = -21 => z = -21 . 5 => z = -105 \end{cases}$
Vậy `x = -63; y = -168; z = -105`
`_` `_` `_` `_` `_` `_` `_` `_` `_` `_` `_` `_` `_` `_`
`5)`
Theo đề bài, ta có: `x/3 = y/4 = z/5` và `5z^2 - 3x^2 - 2y^2 = 594`
Áp dụng tính chất của dãy tỉ số bằng nhau, ta có:
`x/3 = y/4 = z/5 = (5z^2 - 3x^2 + 2y^2)/(5.5^2 - 3.3^2 - 2.4^2) = 594/66 = 9`
$\begin{cases} x/3 = 9 => x = 9 . 3 => x = 27\\y/4 = 9 => y = 9 . 4 => y = 36\\z/5 = 9 => z = 9 . 5 => z = 45 \end{cases}$
Vậy `x = 27; y = 36; z = 45`
`_` `_` `_` `_` `_` `_` `_` `_` `_` `_` `_` `_` `_` `_`
`6)`
Theo đề bài, ta có: `x/3 = y/4 = z/5` và `2x^2 + 2y^2 - 3z^2 = -100`
Áp dụng tính chất của dãy tỉ số bằng nhau, ta có:
`x/3 = y/4 = z/5 = (2x^2 + 2y^2 - 3z^2)/(2x^2 + 2y^2 - 3z^2) = -100/-25 = 4`
$\begin{cases} x/3 = 3 => x = 4 . 3 => x = 12\\y/4 = 4 => y = 4 . 4 => y = 16\\z/5 = 4 => z = 4 . 5 => z = 20 \end{cases}$
Vậy `x = 12; y = 16; z = 20`
Hãy giúp mọi người biết câu trả lời này thế nào?
![]()
Bảng tin
1970
1543
1810
đọc ko hiểu hả
1970
1543
1810
ai hoàn thành đơn kìa
979
874
1353
đoàn r
1970
1543
1810
cho v t cày với
1970
1543
1810
alo
979
874
1353
Uk
979
874
1353
V khoảng đêm off thì t kick nhe-)))
1970
1543
1810
ukm ^_^