

Hãy luôn nhớ cảm ơn và vote 5*
nếu câu trả lời hữu ích nhé!
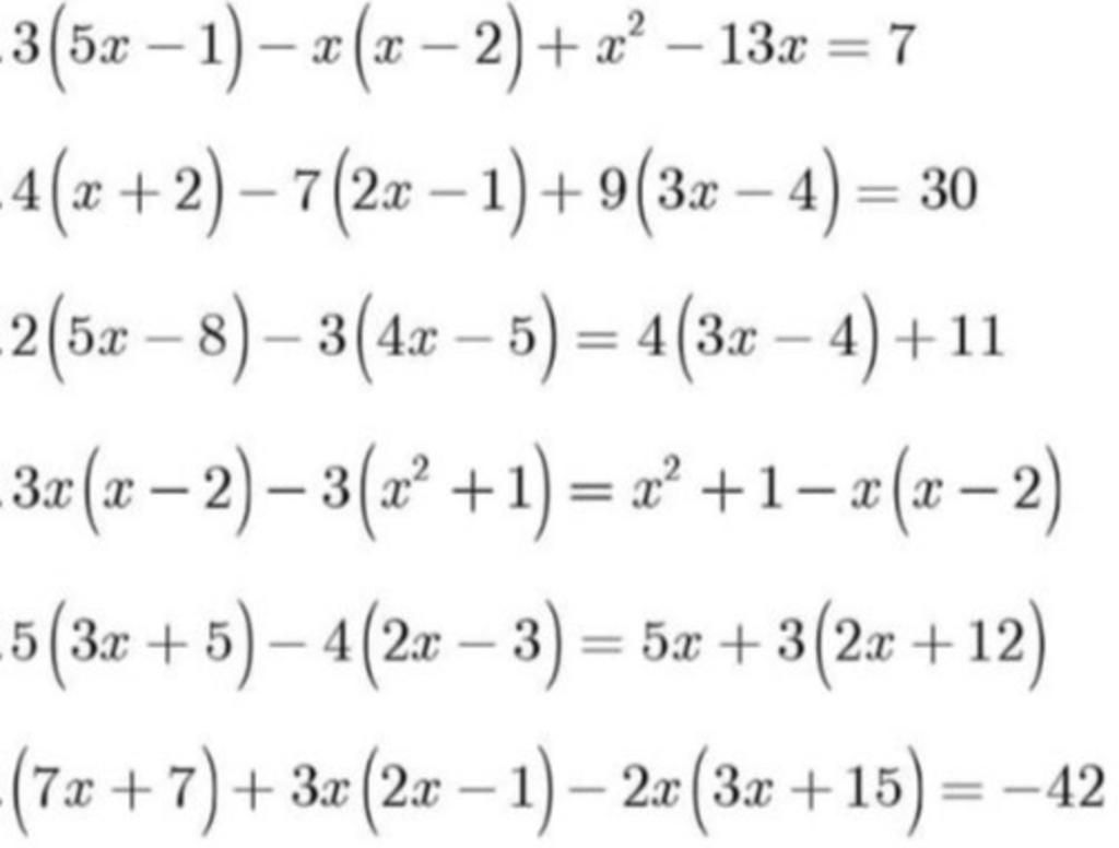
`3(5x-1)-x(x-2)+x^2-13x=7`
`=>15x-3-x^2+2x+x^2-13x=7`
`=>15x-x^2+2x+x^2-13x=7+3`
`=>(-x^2+x^2)+(15x+2x-13x)=7+3`
`=>4x=10`
`=>x=10:4`
`=>x=5/2`
Vậy `x=5/2`
`_______`
`4(x+2)-7(2x-1)+9(3x-4)=30`
`=>4x+8-14x+7+27x-36=30`
`=>4x-14x+27x=30+36-8-7`
`=>17x=51`
`=>x=51:17`
`=>x=3`
Vậy `x=3`
`_______`
`2(5x-8)-3(4x-5)=4(3x-4)+11`
`=>10x-16-12x+15=12x-16+11`
`=>10x-12x-12x=-16+11-15+16`
`=>-14x=-4`
`=>x=-4:(-14)`
`=>x=2/7`
Vậy `x=2/7`
`_______`
`3x(x-2)-3(x^2+1)=x^2+1-x(x-2)`
`=>3x^2-6x-3x^2-3=x^2+1-x^2+2x`
`=>3x^2-6x-3x^2-x^2+x^2-2x=1+3`
`=>(3x^2-3x^2-x^2+x^2)+(-6x-2x)=4`
`=>-8x=4`
`=>x=4:(-8)`
`=>x=-1/2`
Vậy `x=-1/2`
`_______`
`5(3x+5)-4(2x-3)=5x+3(2x+12)`
`=>15x+25-8x+12=5x+6x+36`
`=>15x-8x-5x-6x=36-25-12`
`=>-4x=-1`
`=>x=-1:(-4)`
`=>x=1/4`
Vậy `x=1/4`
`_______`
`(7x+7)+3x(2x-1)-2x(3x+15)=-42`
`=>7x+7+6x^2-3x-6x^2-30x=-42`
`=>(6x^2-6x^2)+(7x-3x-30x)=-42-7`
`=>-26x=-49`
`=>x=-49:(-26)`
`=>x=49/26`
Vậy `x=49/26`
Hãy giúp mọi người biết câu trả lời này thế nào?

`1,`
`3 (5x - 1) - x(x - 2) + x^2 - 13x = 7`
`=> 15x - 3 - x^2 + 2x + x^2 - 13x = 7`
`=> (x^2 - x^2) + (15x + 2x - 13x) - 3 = 7`
`=> 4x - 3 = 7`
`=> 4x = 7 + 3`
`=> 4x = 10`
`=> x = 10/4`
`=> x = 5/2`
Vậy `x = 5/2`
``
`2,`
`4(x + 2) - 7(2x - 1) + 9(3x - 4) = 30`
`=> 4x + 8 - 14x + 7 + 27x - 36 = 30`
`=> (4x - 14x + 27x) + (8 + 7 - 36) = 30`
`=> 17x - 21 = 30`
`=> 17x = 30 + 21`
`=> 17x = 51`
`=> x = 51/17`
`=> x = 3`
Vậy `x = 3`
``
`3,`
`2(5x - 8) - 3(4x - 5) = 4(3x - 4) + 11`
`=> 10x - 16 - 12x + 15 = 12x - 16 + 11`
`=> 10x - 12x - 12x = 16 - 15 - 16 + 11`
`=> -14x = -4`
`=> x = 4/14`
`=> x = 2/7`
Vậy `x = 2/7`
``
`4,`
`5(3x + 5) - 4.(2x-3) = 5x + 3 (2x+12)`
`=>15x + 25 - 8x + 12 = 5x + 6x + 36`
`=>15x - 8x - 5x - 6x = 36 - 25 - 12`
`=>-4x=-1`
`=>x=1/4`
Vậy `x=1/4`
``
`5,`
`(7x + 7) + 3x.(2x - 1) - 2x.(3x + 15)=-42`
`=>7x + 7 + 6x^2 - 3x - 6x^2 - 30x = -42`
`=>(6x^2-6x^2)+(7x-3x-30x) + (7 + 42)= 0`
`=>-26.x + 49=0`
`=> -26x = -49`
`=>x = 49/26`
Vậy `x = 49/26`
______________
Quy tắc $:$
`***` Phá ngoặc đổi dấu
`@` `-(a + b) -> -a - b `
`@` `-(a - b) -> -a + b`
Hãy giúp mọi người biết câu trả lời này thế nào?

Bảng tin