

giúp e bài này phần 2 với ạ
Hãy luôn nhớ cảm ơn và vote 5*
nếu câu trả lời hữu ích nhé!
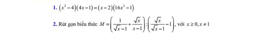
`1.`
`(x^2-4)(4x-1)=(x-2)(16x^2-1)`
`⇔(x^2-4)(4x-1)-(x-2)(16x^2-1)=0`
`⇔(x-2)(x+2)(4x-1)-(x-2)(4x-1)(4x+1)=0`
`⇔(x-2)(4x-1)[(x+2)-(4x+1)]=0`
`⇔(x-2)(4x-1)(x+2-4x-1)=0`
`⇔(x-2)(4x-1)(1-3x)=0`
`⇔[(x-2=0),(4x-1=0),(1-3x=0):}`
`⇔[(x=2),(x=1/4),(x=1/3):}`
Vậy `S={2;1/4;1/3}`
`2.`
`M=( 1/(\sqrt{x}-1) + (\sqrt{x})/(x-1) ):( (\sqrt{x})/(\sqrt{x}-1) -1 )`
`=( (\sqrt{x}+1)+ \sqrt{x} )/( (\sqrt{x}-1)(\sqrt{x}+1) ) : (\sqrt{x} - (\sqrt{x}-1) )/(\sqrt{x}-1)`
`= (2\sqrt{x}+1)/( (\sqrt{x}-1)(\sqrt{x}+1) ) : 1/(\sqrt{x}-1)`
`= (2\sqrt{x}+1)/( (\sqrt{x}-1)(\sqrt{x}+1) ) . (\sqrt{x}-1)`
`=(2\sqrt{x}+1)/(\sqrt{x}+1)`
Vậy `M=(2\sqrt{x}+1)/(\sqrt{x}+1)` với `x≥0, x≠1`
`#` `ccUh`
Hãy giúp mọi người biết câu trả lời này thế nào?
Bảng tin
494
120
595
Chăm qa tr-))