

Hãy luôn nhớ cảm ơn và vote 5*
nếu câu trả lời hữu ích nhé!
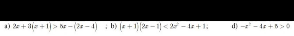
`a)` `2x + 3 ( x + 1 ) > 5x - ( 2x - 4 )`
`<=> 2x + 3x + 3 > 5x - 2x + 4`
`<=> 5x + 3 > 3x + 4`
`<=> 5x - 3x > 4 - 3`
`<=> 2x > 1`
`<=> x > 1/2`
Vậy `x > 1/2`
`b)` `(x+1)(2x-1)<2x^2-4x+1`
`<=> 2x^2 + x - 1 < 2x^2 - 4x + 1`
`<=> 5x < 2`
`<=> x < 2/5`
Vậy `x < 2/5`
`c)` `-x^2 - 4x + 5 > 0`
`<=> (-x+1)(x+5) > 0`
`<=> [ ( {(-x+1>0),(x+5>0):} ),( {(-x+1<0),(x+5<0):} ):}`
`<=> [ ( { ( x < 1 ),( x > -5 ):} ),( { ( x > 1 ),( x < -5 ):} ( \text{Vô lý} ) ):}`
`<=> -5 < x < 1`
Vậy `-5 < x < 1`
Hãy giúp mọi người biết câu trả lời này thế nào?
![]()
Đáp án `+` Giải thích các bước giải:
`a) 2x+3(x+1) > 5x-(2x-4)`
`<=> 2x+3x+3 > 5x-2x+4`
`<=> 5x+3 > 3x+4`
`<=> 2x > 1`
`<=> x > 1/2`
Vậy...
`b) (x+1)(2x-1) < 2x^2-4x+1`
`<=> 2x^2-x+2x-1 < 2x^2-4x+1`
`<=> 2x^2+x-1 < 2x^2-4x+1`
`<=> 5x < 2`
`<=> x < 2/5`
Vậy...
`c)-x^2-4x+5 > 0`
`<=> -x^2+x-5x+5 > 0`
`<=> -x(x-1)-5(x-1)>0`
`<=> -(x-1)(x+5) >0`
`@` TH1 :
$\begin{cases} -(x-1) > 0\\x+5 > 0 \end{cases}$
`<=>` $\begin{cases} x < 1\\x > -5 \end{cases}$
`<=> -5<x<1`
`@` TH2 :
$\begin{cases} -(x-1) < 0\\x+5 < 0 \end{cases}$
`<=>` $\begin{cases} x >1\\x<-5 \end{cases}$
`<=>` Vô lí `->` Loại
`=> -5<x<1`
Vậy...
Hãy giúp mọi người biết câu trả lời này thế nào?
Bảng tin
1889
512
1043
anh cho em vào ké điểm dc hog anh Trum dzai