

giup e vs a can gap c.on
Hãy luôn nhớ cảm ơn và vote 5*
nếu câu trả lời hữu ích nhé!
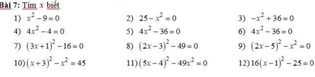
`1)x^2-9=0`
`<=>x^2-3^2=0`
`<=>(x-3)(x+3)=0`
`<=>x-3=0` hoặc `x+3=0`
`<=>x=3` hoặc `x=-3`
Vậy `S={+-3}`
`2)25-x^2=0`
`<=>5^2-x^2=0`
`<=>(5-x)(5+x)=0`
`<=>5-x=0` hoặc `5+x=0`
`<=>x=5` hoặc `x=-5`
Vậy `S={+-5}`
`3)-x^2+36=0`
`<=>36-x^2=0`
`<=>6^2-x^2=0`
`<=>(6-x)(6+x)=0`
`<=>6-x=0` hoặc`6+x=0`
`<=>x=6` hoặc `x=-6`
Vậy` S={+-6}`
`4)4x^2-4=0`
`<=>4(x^2-1)=0`
`<=>x^2-1=0`
`<=>x^2-1^2=0`
`<=>(x+1)(x-1)=0`
`<=>x-1=0` hoặc `x+1=0`
`<=>x=1` hoặc `x=-1`
Vậy `S={+-1}`
`5+6)4x^2-36=0`
`<=>(2x)^2-6^2=0`
`<=>(2x-6)(2x+6)=0`
`<=>2x-6=0` hoặc `2x+6=0`
`<=>2x=6` hoặc `2x=-6`
`<=>x=3` hoặc `x=-3`
Vậy `S={+-3}`
`7)(3x+1)^2-16=0`
`<=>(3x+1)^2-462=0`
`<=>(3x+1-4)(3x+1+4)=0`
`<=>(3x-3)(3x+5)=0`
`<=>3x-3=0` hoặc `3x+5=0`
`<=>3x=3` hoặc `3x=-5`
`<=>x=1` hoặc `x=-5/3`
Vậy `S={1;-5/3}`
`8)(2x-3)^2-49=0`
`<=>(2x-3)^2-7^2=0`
`<=>(2x-3-7)(2x-3+7)=0`
`<=>(2x-10)(2x+4)=0`
`<=>2x-10=0` hoặc `2x+4=0`
`<=>2x=10` hoặc `2x=-4`
`<=>x=5` hoặc `x=-2`
Vậy `S={5;-2}`
`9)(2x-5)^2-x^2=0`
`<=>(2x-5-x)(2x-5+x)=0`
`<=>(x-5)(3x+5)=0`
`<=>x-5=0` hoặc `3x+5=0`
`<=>x=5` hoặc `x=-5/3`
Vậy `S={5;-5/3}`
`10)(x+3)^2-x^2=45`
`<=>x^2-6x+9-x^2=45`
`<=>9-6x-45=0`
`<=>``-6x=36`
`<=>x=-6`
Vậy `S={-6}`
`11)(5x-4)^2-49x^2=0`
`<=>(5x-4)^2-(7x)^2=0`
`<=>(5x-4-7x)(5x-4+7x)=0`
`<=>(-2x-4)(12x-4)=0`
`<=>12x-4=0` hoặc `-2x-4=0`
`<=>x=1/3`hoặc `x=-2`
Vậy `S={1/3;-2}`
`12)16(x-1)^2-25=0`
`<=>(x-1)^2=25/16`
`<=>(x-1)^2=+-5/4`
`<=>x-1=5/4` hoặc `x-1=-5/4`
`<=>x=9/4` hoặc `x=-1/4`
Vậy `S={9/4;-1/4}`
Hãy giúp mọi người biết câu trả lời này thế nào?

Bảng tin