

Hãy luôn nhớ cảm ơn và vote 5*
nếu câu trả lời hữu ích nhé!
Đáp án `+` Giải thích các bước giải:
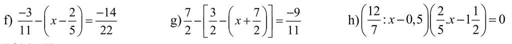
`f)` `(-3)/11-(x-2/5)=(-14)/22`
`=>(-3)/11-(x-2/5)=(-7)/11`
`=>x-2/5=(-3)/11+7/11`
`=>x-2/5=4/11`
`=>x=4/11+2/5`
`=>x=42/55`
Vậy `x=42/55`
`g)` `7/2 -[3/2 -(x+7/2)]=(-9)/11`
`=>3/2-(x+7/2)=7/2+9/11`
`=>3/2-(x+7/2)=95/22`
`=>x+7/2 =3/2-95/22`
`=>x+7/2=-31/11`
`=>x=-31/11-7/2`
`=>x=-139/22`
Vậy `x=-139/22`
`h)` `(12/7 :x-0,5)(2/5 x-1 1/2)=0`
`=>(12 /7 :x-1/2)(2/5 x-3/2)=0`
`=>12/7 :x-1/2=0` hoặc `2/5 x-3/2=0`
`=>12/7 :x=1/2` hoặc `2/5 x=3/2`
`=>x=12/7 :1/2` hoặc `x=3/2 :2/5`
`=>x=24/7` hoặc `x=15/4`
Vậy `x\in{24/7;15/4}`
Hãy giúp mọi người biết câu trả lời này thế nào?
Đáp án:
`d)(-3)/11 - (x - 2/5) = (-14)/22`
`x - 2/5 = (-3)/11 - (-14)/22`
`x - 2/5 = (-6)/22 + 14/22`
`x - 2/5 = 4/11`
`x = 4/11 + 2/5`
`x = 42/55`
Vậy `x = 42/55`
`g)7/2 - [3/2 - (x + 7/2)] = (-9)/11`
`3/2 - (x + 7/2) = 7/2 - (-9)/11`
`3/2 - (x + 7/2) = 95/22`
`x + 7/2 = 3/2 - 95/22`
`x + 7/2 = 33/22 - 95/22`
`x + 7/2= (-31)/11`
`x = (-31)/11 - 7/2`
`x = (-139)/22`
Vậy `x = (-139)/22`
`h)(12/7 : x - 0,5) (2/5x - 1 1/2) = 0`
`TH1:`
`12/7 : x - 0,5 = 0`
`12/7 : x = 0 + 0,5`
`12/7 : x= 0,5`
`x = 0,5 : 12/7`
`x = 0,5 xx 7/12`
`x = 7/24`
`TH2:`
`2/5x - 1 1/2 = 0`
`2/5x = 0 + 3/2`
`2/5x = 3/2`
`x = 3/2 : 2/5`
`x = 3/2 xx 5/2`
`x = 15/4`
Vậy `x in {7/24;15/4}`
Hãy giúp mọi người biết câu trả lời này thế nào?
Bảng tin
1999
27954
1397
bro chăm quá
1999
27954
1397
ngưỡng mộ ai đồ :)
1999
27954
1397
cấp mác thì cày xuyên luôn
1999
27954
1397
h t đi hc
1999
27954
1397
mong về thấy dc cái mác của m;-;;;
1999
27954
1397
Chắc phải tháng sau mới có khồng
1999
27954
1397
oke