

Làm hộ tui xin cam ơn :<
Hãy luôn nhớ cảm ơn và vote 5*
nếu câu trả lời hữu ích nhé!
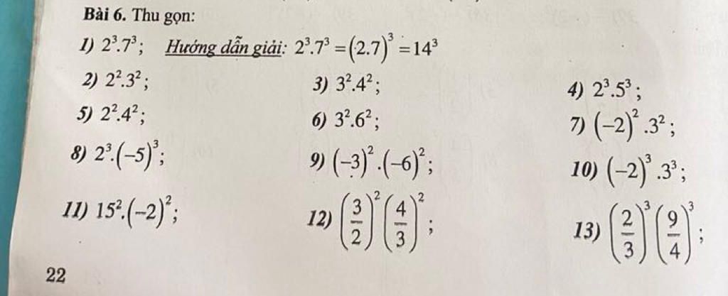
`2)` `2^2*3^2=(2*3)^2=6^2`
`3)` `3^2*4^2=(3*4)^2=12^2`
`4)` `2^3*5^3=(2*5)^3=10^3`
`5)` `2^2*4^2=(2*4)^2=8^2`
`6)` `3^2*6^2=(3*6)^2=18^2`
`7)` `(-2)^2*3^2=2^2*3^2=(2*3)^2=6^2`
`8)` `2^3*(-5)^3=[2*(-5)]^3=(-10)^3`
`9)` `(-3)^2*(-6)^2=3^2*6^2=(3*6)^2=18^2`
`10)` `(-2)^3*3^3=(-2*3)^3=(-6)^3`
`11)` `15^2*(-2)^2=[15*(-2)]^2=(-30)^2`
`12)` `(3/2)^2*(4/3)^2=(3/2*4/3)^2=2^2`
`13)` `(2/3)^3*(9/4)^3=(2/3*9/4)^3=(3/2)^3`
Hãy giúp mọi người biết câu trả lời này thế nào?
![]()
Bảng tin