

Hãy luôn nhớ cảm ơn và vote 5*
nếu câu trả lời hữu ích nhé!
Đáp án+Giải thích các bước giải:
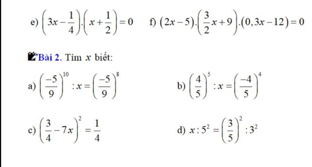
`e)`
`(3x-1/4).(x+1/2)=0`
`+)TH1:3x-1/4=0`
`=>3x=1/4`
`=>x=1/4:3`
`=>x=1/12`
`+)TH2:x+1/2=0`
`=>x=-1/2`
Vậy `x\in{1/12;-1/2}.`
`f)`
`(2x-5).(3/2x+9).(0,3x-12)=0`
`=>2x-5=0` hoặc `3/2x+9=0` hoặc `0,3x-12=0`
`=>2x=5` hoặc `3/2x=-9` hoặc `0,3x=12`
`=>x=5/2` hoặc `x=-6` hoặc `x=40`
Vậy `x\in{5/2;-6;40}.`
Bài `2:`
`a)`
`(\frac{-5}{9})^{10}:x=(\frac{-5}{9})^{8}`
`=>x=(-5/9)^{10}:(-5/9)^{8}`
`=>x=(-5/9)^{10-8}`
`=>x=(-5/9)^{2}`
`=>x=(5/9)^{2}`
`=>x=25/81`
Vậy `x=25/81`
`b)`
`(4/5)^{5}:x=(\frac{-4}{5})^{4}`
`=>x=(4/5)^{5}:(4/5)^{4}`
`=>x=(4/5)^{5-4}`
`=>x=4/5`
Vậy `x=4/5`
`c)`
`(3/4-7x)^{2}=1/4`
`=>(3/4-7x)^{2}=(1/2)^{2}=(-1/2)^{2}`
`=>3/4-7x=1/2` hoặc `3/4-7x=-1/2`
`=>7x=3/4-1/2` hoặc `7x=3/4+1/2`
`=>7x=3/4-2/4` hoặc `7x=3/4+2/4`
`=>7x=1/4` hoặc `7x=5/4`
`=>x=1/28` hoặc `x=5/28`
Vậy `x\in{1/28;5/28}.`
`d)`
`x:5^{2}=(3/5)^{2}:3^{2}`
`=>x=\frac{3^{2}}{5^{2}}.\frac{1}{3^{2}}.5^{2}`
`=>x=\frac{3^{2}.1.5^{2}}{5^{2}.3^{2}}`
`=>x=1/1`
`=>x=1`
Vậy `x=1`
Hãy giúp mọi người biết câu trả lời này thế nào?

Đáp án:
Giải thích các bước giải:
Ta có:
`e)(3x-1/4).(x+1/2)=0`
`TH1:`
`3x-1/4=0`
`3x=0+1/4`
`3x=1/4`
`x=1/4:3`
`x=1/12`
`TH2:`
`x+1/2=0`
`x=0-1/2`
`x=-1/2`
Vậy `x in{1/12;-1/2}`
`f)(2x-5).(3/2x+9).(0,3x-12)=0`
`TH1:`
`2x-5=0`
`2x=0+5`
`2x=5`
`x=5:2`
`x=5/2`
`TH2:`
`3/2x+9=0`
`3/2x=0-9`
`3/2x=-9`
`x=-9:3/2`
`x=-6`
`TH3:`
`0,3x-12=0`
`0,3x=0+12`
`0,3x=12`
`x=12:0,3`
`x=40`
Vậy `x in {5/2;-6;40}`
Bài `2:`
`a)(-5/9)^10 : x=(-5/9)^8`
`x=(-5/9)^10:(-5/9)^8`
`x=(-5/9)^2`
`x=25/81`
Vậy `x=25/81`
`b)(4/5)^{5}:x=(-4/5})^4`
`x=(4/5)^5: (4/5)^4`
`x=4/5`
Vậy `x=4/5`
`c)(3/4-7x)^2=1/4`
`=>(3/4-7x)^{2}=(+-1/2)^2`
`TH1:`
`3/4-7x=1/2`
`7x=3/4-1/2`
`7x=1/4`
`x=1/4: 7`
`x=1/28`
`TH2:`
`3/4-7x=-1/2`
`7x=3/4-(-1/2)`
`7x=5/4`
`x=5/4: 7`
`x=5/28`
Vậy `x in {1/28;5/28}`
`d)x:5^2=(3/5)^2 :3^2`
`x:5^2=(3/5)^2 . 1/3^2`
`x:5^2=(3/5 . 1/3)^2`
`x:5^2=(1/5 )^2`
`x=(1/5 )^2 .5^2`
`x=(5/5 )^2`
`x=1^2=1`
Vậy `x=1`
Hãy giúp mọi người biết câu trả lời này thế nào?

Bảng tin
1075
710
1279
anh ơi , giúp e bài này đc ko ?
26408
329968
17633
Bài gì e
1075
710
1279
bài hđt ấy ạ
1075
710
1279
e nhầm , bđt
26408
329968
17633
uk
1075
710
1279
à thôi , anh ạ , e thấy lời giải r
1075
710
1279
xin lỗi vì đã làm phiền
26408
329968
17633
ko sao bạn ạ