

Hãy luôn nhớ cảm ơn và vote 5*
nếu câu trả lời hữu ích nhé!
Đáp án+Giải thích các bước giải:
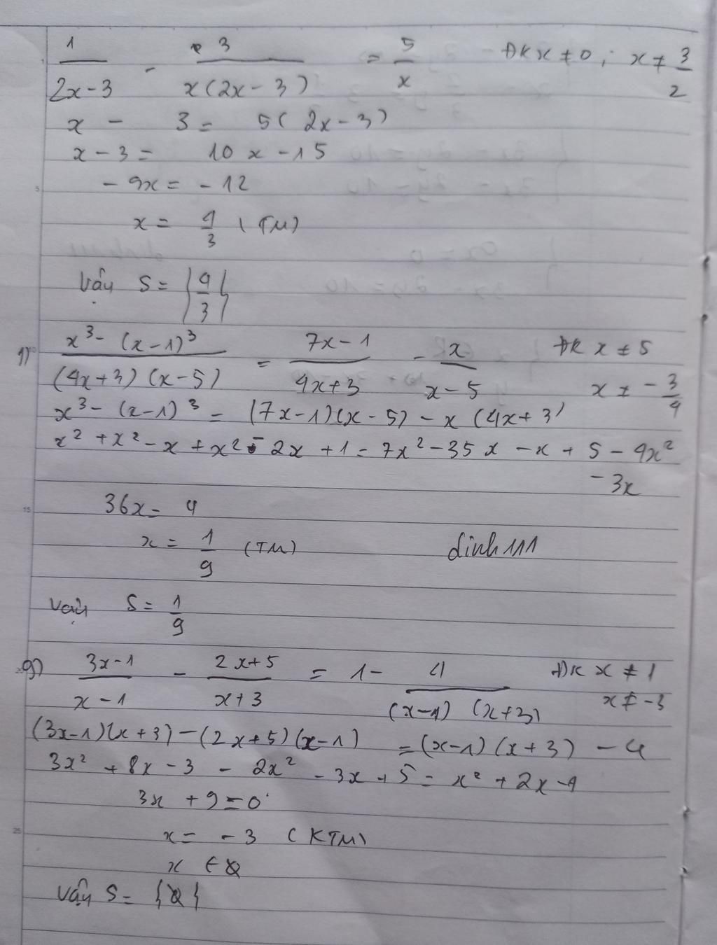
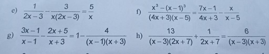
`e)`
`\frac{1}{2x-3}-\frac{3}{x.(2x-3)}=5/x`
`(đk:x\ne0;x\ne 3/2)`
`<=>\frac{x}{x.(2x-3)}-\frac{3}{x.(2x-3)}=\frac{5.(2x-3)}{x.(2x-3)}`
`=>x-3=5.(2x-3)`
`<=>x-3=10x-15`
`<=>x-10x=-15+3`
`<=>-9x=-12`
`<=>x=4/3(tmđk)`
Vậy `S={4/3}.`
`f)`
`\frac{x^{3}-(x-1)^{3}}{(4x+3).(x-5)}=\frac{7x-1}{4x+3}-\frac{x}{x-5}`
`(đk:x\ne-3/4;x\ne5)`
`<=>\frac{(x-x+1).[x^{2}+x.(x-1)+(x-1)^{2}]}{(4x+3).(x-5)}=\frac{(7x-1).(x-5)}{(4x+3).(x-5)}-\frac{x.(4x+3)}{(4x+3).(x-5)}`
`=>1.(x^{2}+x^{2}-x+x^{2}-2x+1)=7x^{2}-35x-x+5-4x^{2}-3x`
`<=>3x^{2}-3x+1=3x^{2}-39x+5`
`<=>3x^{2}-3x^{2}-3x+39x=5-1`
`<=>36x=4`
`<=>x=1/9(tmđk)`
Vậy `S={1/9}.`
`g)`
`\frac{3x-1}{x-1}-\frac{2x+5}{x+3}=1-\frac{4}{(x-1).(x+3)}`
`(đk:x\ne1;x\ne-3)`
`<=>\frac{(3x-1).(x+3)}{(x-1).(x+3)}-\frac{(2x+5).(x-1)}{(x-1).(x+3)}=\frac{(x-1).(x+3)}{(x-1).(x+3)}-\frac{4}{(x-1).(x+3)}`
`=>3x.(x+3)-1.(x+3)-(2x^{2}-2x+5x-5)=x^{2}+3x-x-3-4`
`<=>3x^{2}+9x-x-3-2x^{2}-3x+5=x^{2}+2x-7`
`<=>x^{2}+5x+2-x^{2}-2x+7=0`
`<=>3x+9=0`
`<=>3x=-9`
`<=>x=-3(ktmđk)`
`->` Phương trình vô nghiệm
Vậy phương trình vô nghiệm.
`h)`
`\frac{13}{(x-3).(2x+7)}+\frac{1}{2x+7}=\frac{6}{(x-3).(x+3)}`
`(đk:x\ne\pm3;x\ne -7/2)`
`<=>\frac{13.(x+3)}{(x-3).(x+3).(2x+7)}+\frac{(x-3).(x+3)}{(x-3).(x+3).(2x+7)}=\frac{6.(2x+7)}{(x-3).(x+3).(2x+7)}`
`=>13x+39+x^{2}-3^{2}=12x+42`
`<=>x^{2}+13x+30-12x-42=0`
`<=>x^{2}+x-12=0`
`<=>x^{2}+4x-3x-12=0`
`<=>x.(x+4)-3.(x+4)=0`
`<=>(x-3).(x+4)=0`
`<=>x-3=0` hoặc `x+4=0`
`<=>x=3(ktmđk)` hoặc `x=-4(tmđk)`
`<=>x=-4`
Vậy `S={-4}.`
Hãy giúp mọi người biết câu trả lời này thế nào?
Bảng tin