Vui lòng chỉ chọn một câu hỏi
Hoidap247.com Nhanh chóng, chính xác
+
Danh mục mới
0
5
Giải hộ e câu này với ạ
Hãy luôn nhớ cảm ơn và vote 5* nếu câu trả lời hữu ích nhé!
5097
1467
3836
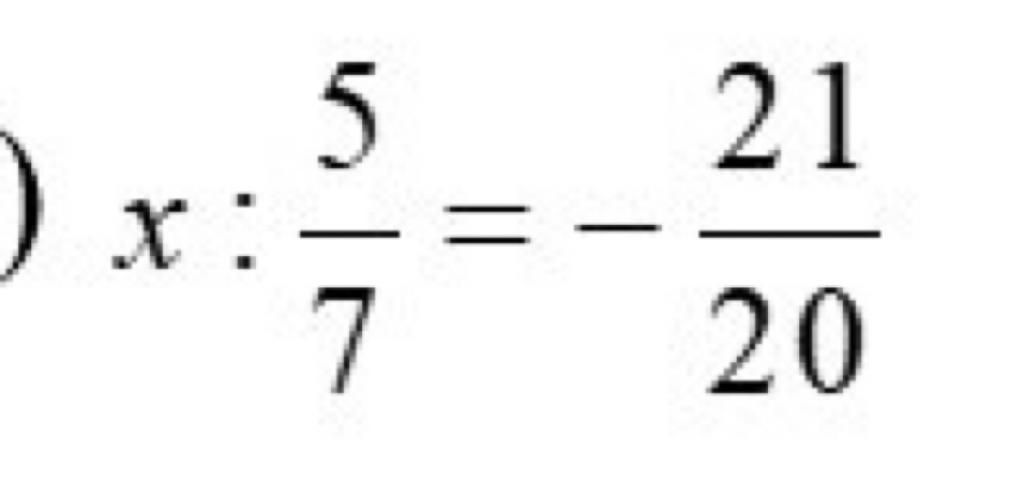
`x : 5/7 = -21/20`
`x = -21/20 . 5/7`
`x = -3/4`
vậy x = `-3/4`
chúc bạn học tốt :)
Hãy giúp mọi người biết câu trả lời này thế nào?
3675
586
2389
Giải thích các bước giải:
`=> x = -21/20 . 5/7`
`=> x = (-21 . 5)/( 20 . 7 )`
`=> x = (-3)/4`
Vậy, `x = (-3)/4`
`#By`
Bảng tin
Gửi yêu cầu Hủy