

Hãy luôn nhớ cảm ơn và vote 5*
nếu câu trả lời hữu ích nhé!
Đáp án+Giải thích các bước giải:
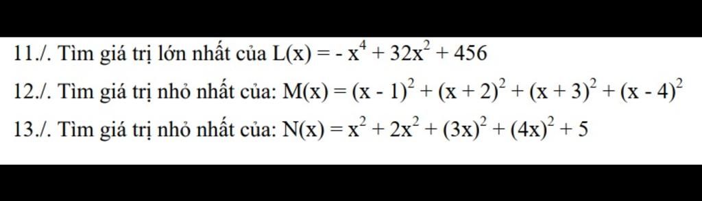
`11)`
`L(x)=-x^{4}+32x^{2}+456`
`=-(x^{4}-32x^{2}-456)`
`=-[(x^{2})^{2}-2.x^{2}.16+16^{2}-712]`
`=-[(x^{2}-16)^{2}-712]`
`=-(x^{2}-16)^{2}+712`
Do `(x^{2}-16)^{2}\ge0AAx`
`=>-(x^{2}-16)^{2}\le0AAx`
`=>-(x^{2}-16)^{2}+712\le 712AAx`
`=>L(x)\le 712`
`=>L(x)_{max}=712`
Dấu "=" xảy ra khi và chỉ khi:
`x^{2}-16=0`
`<=>x^{2}=16`
`<=>x^{2}=(\pm4)^{2}`
`<=>x=4` hoặc `x=-4`
Vậy `L(x)_{max}=712` khi `x=4` hoặc `x=-4.`
`12)`
`M(x)=(x-1)^{2}+(x+2)^{2}+(x+3)^{2}+(x-4)^{2}`
`=(x-1).(x-1)+(x+2).(x+2)+(x+3).(x+3)+(x-4).(x-4)`
`=x^{2}-2x+1+x^{2}+4x+4+x^{2}+6x+9+x^{2}-8x+16`
`=4x^{2}+30`
Do `4x^{2}\ge0AAx`
`=>4x^{2}+30\ge 30>0AAx`
`=>M(x)\ge30`
`=>M(x)_{min}=30`
Dấu "=" xảy ra khi và chỉ khi:
`x=0`
Vậy `M(x)_{min}=30` khi `x=0.`
`13)`
`N(x)=x^{2}+2x^{2}+(3x)^{2}+(4x)^{2}+5`
`=3x^{2}+9x^{2}+16x^{2}+5`
`=28x^{2}+5`
Do `28x^{2}\ge0AAx`
`=>28x^{2}+5\ge5>0AAx`
`=>N(x)\ge5`
`=>N(x)_{min}=5`
Dấu "=" xảy ra khi và chỉ khi:
`x=0`
Vậy `N(x)_{min}=5` khi `x=0`
Hãy giúp mọi người biết câu trả lời này thế nào?

Bảng tin
7
249
2
chỗ dấu bằng xảy ra khi làm rõ ra giúp mình dc k
7
249
2
câu 13 á
26368
329208
17600
`x^{2}\ge0` Dấu "=" xảy ra khi `x=0`
26368
329208
17600
Đối với GTNN