Đăng nhập để hỏi chi tiết


Hỡi thế gian ai là người giỏi toán
Giải dùm tôi bài toán :
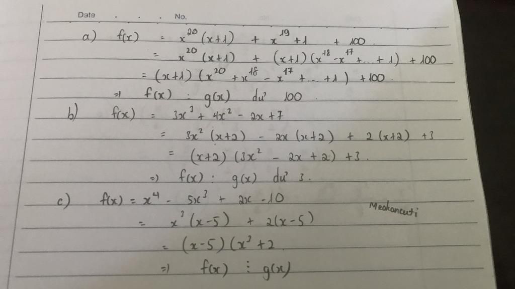
Tìm số dư trong phép chia đa thứ f(x) cho đa thức g(x) trong các trường hợp sau
a) f(x) = x^21 + x^20 +x^19 + 101 ; g(x) = x+1
B)f(x) = 3^3 + 4^2 - 2x + 7 ; g(x) = x+2
C) f(x) = x^4 - 5x^3 + 2x - 10 ; g(x) = x-5
Hãy luôn nhớ cảm ơn và vote 5*
nếu câu trả lời hữu ích nhé!
Bạn tham khảo nhé.
Giải thích các bước giải:
Hãy giúp mọi người biết câu trả lời này thế nào?

Bảng tin