Đăng nhập để hỏi chi tiết


giúp e câu 3 với ạ :)))))
Hãy luôn nhớ cảm ơn và vote 5*
nếu câu trả lời hữu ích nhé!
Đáp án:
`↓`
Giải thích các bước giải:
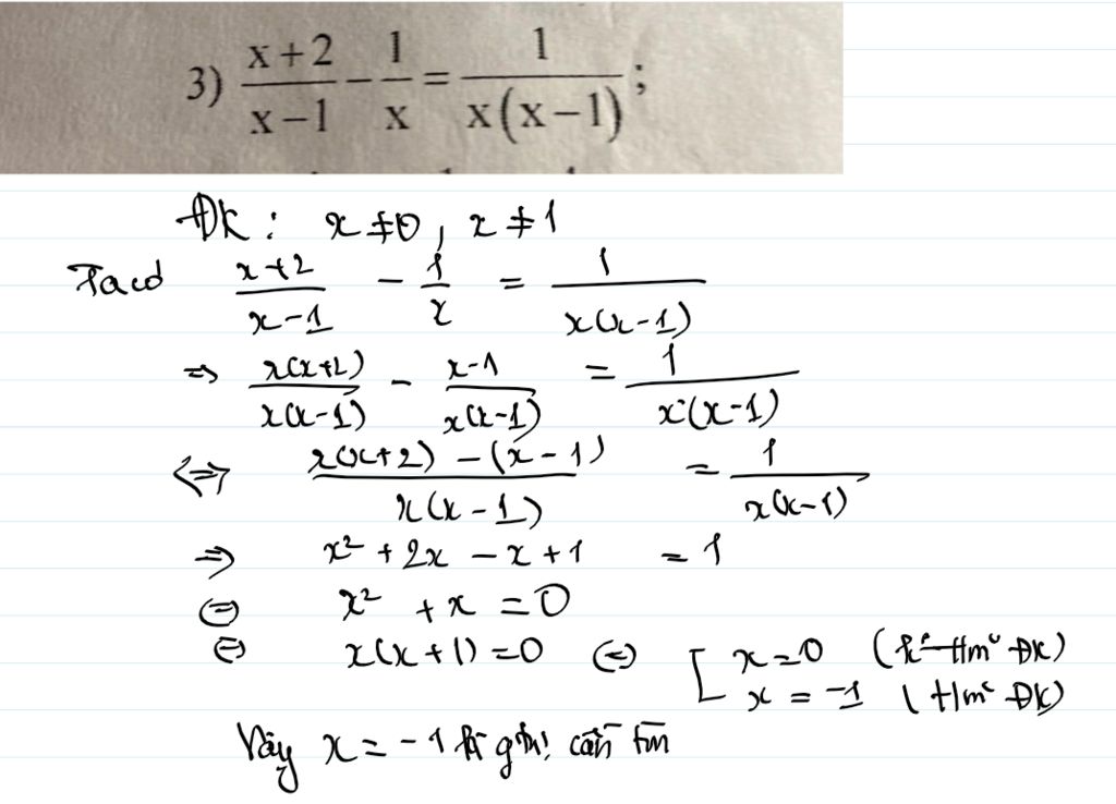
`3) (x+2)/(x-1) - 1/x = 1/(x(x-1))`
ĐK : `x ne 0 ; x ne 1`
`⇔(x(x+2)-1.(x-1))/(x(x-1)) = 1/(x(x-1))`
`⇔x(x+2)-(x-1)=1`
`⇔x^2 +2x-x+1-1=0`
`⇔x^2 +x=0`
`⇔x(x+1)=0`
`⇔[(x=0),(x+1=0):}`
`⇔[(x=0 (loại) ),(x=-1 (TM)):}`
Vậy `S ={-1}`
Hãy giúp mọi người biết câu trả lời này thế nào?
![]()
Bảng tin