Tham Gia Group Dành Cho Lớp 8 Chia Sẻ, Trao Đổi Tài Liệu Miễn Phí
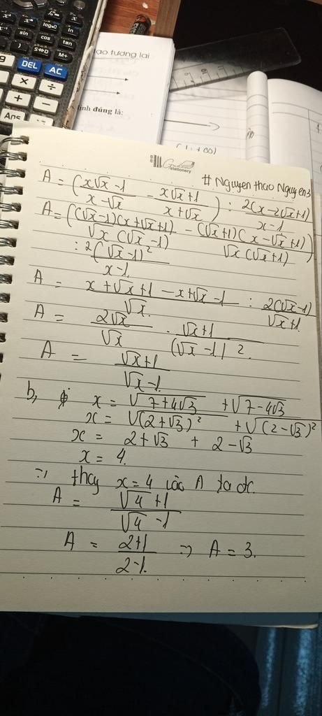
Tu 1: (4,0 điểm ): Cho biểu thức:
A =
(x√x-1 x√x+1) 2(x-2√x+1)
x-1
a) Rút gọn A
b) Tính giá trị của A khi x =
√7+4√3+√7-4√3
Tu 2: (3,0 điểm )Tính giá trị của các biểu thức:
a
B=sin² 1°+sin² 2° + sin² 3° +...+ sin² 88° + sin² 89°
b) C=
(2023a+bc)(2023b+ac) (2023b+ca)(2023c+ab)
2023c+ab
...
39
1453
22
chữ đẹp quá, chẳng bù cho e
1213
549
1158
Chê khéo phết :)))