

Một xe ô tô dự định đi từ A đến B trong 1 thời gian nhất định. Nếu xe chạy mỗi giờ nhanh hơn 10km thì đến nơi sớm hơn dự định 3 giờ, nếu xe chạy chậm lại mỗi giờ chậm hơn 10km thì đến nơi chậm hơn dự định 5 giờ. Tính vận tốc của xe lúc đầu, thời gian dự định và quãng đường AB.
Hãy luôn nhớ cảm ơn và vote 5*
nếu câu trả lời hữu ích nhé!
Đáp án+Giải thích các bước giải:
Gọi vận tốc ban đầu là x (km/h); (x > 10). Thời gian chạy dự định là y (giờ)
Chiều dài quãng đường là: x.y
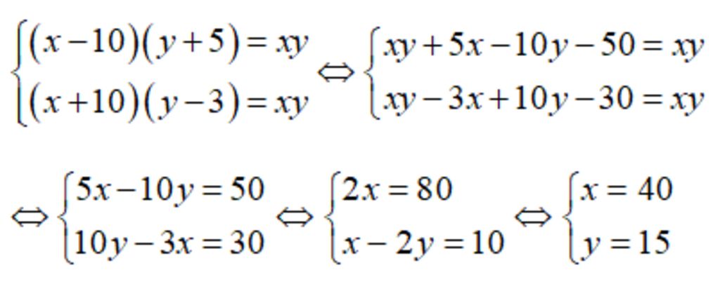
Nếu xe chạy mỗi giờ nhanh hơn 10 km thì đến nơi sớm hơn dự định 3 giờ. Vận tốc xe khi đó là
x + 10 (km /h ); thời gian đi là : y – 3 ( giờ) .
Chiều dài quãng đường là (x + 10)(y - 3)
Nếu xe chạy chậm lại mỗi giờ 10km thì đến nơi chậm mất 5 giờ. Vận tốc xe đi khi đó là: x – 10 ( km/h) và thời gian đi là : y + 5( giờ).
Chiều dài quãng đường là (x - 10)(y + 5)
Suy ra ta có hệ:
Vậy thời gian xe dự định đi hết quãng đường AB là 15 giờ, vận tốc của xe lúc đầu là 40km/h.
Độ dài quãng đường AB là: 15.40=600(km)
Hãy giúp mọi người biết câu trả lời này thế nào?
Bảng tin
0
125
0
giải bằng pp thế đc ko ạ
0
236
0
cho e hỏi sao lại bằng 2x=80 và x-2y=10 dk ạ, mình dùng pp gì v ạ