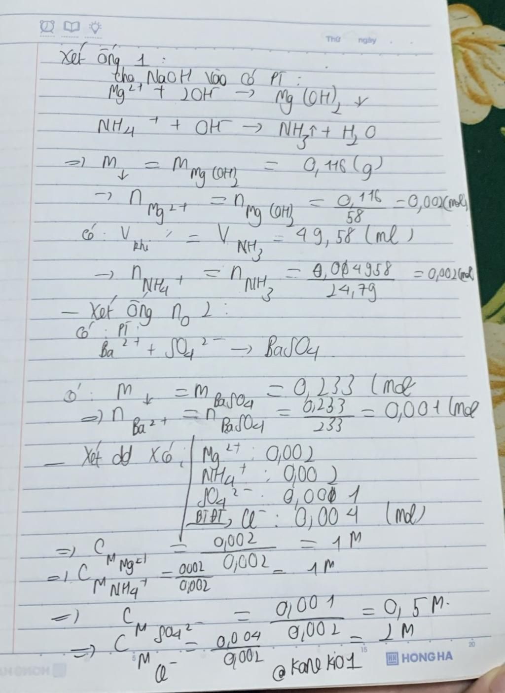
Câu 6:
(SBT–KNTT) Cho vào hai ống nghiệm, mỗi ống 20,00 mL dung dịch X gồm các ion sau: Mg,
NH4*, SO4 và C1 . Cho dung dịch NaOH dư vào ống nghiệm thứ nhất, đun nóng, thu được 0,116
gam kết tủa và 49,58 mL khí (đkc). Cho dung dịch BaCl2 dư vào ống nghiệm thứ hai, thu được
0,233 gam kết ...
Xem thêm
0
193
0
bạn ơi
0
193
0
chỗ nồng độ của Mg, NH4, SO4, Cl ( khúc cuối) CM= n/V ( chỗ V là 20ml => 0.02 thọi ạ ) chỗ đấy á bạn,
0
193
0
phần trình bày của bạn thì khỏi phải bàn rồi, amazing. Chỉ có khúc cuối mình thầy chưa chính xác lắm =))
494
11411
237
ừ nhỉ =))
494
11411
237
mé tại mình tính nhẩm nên sai á
494
11411
237
sorry bạn nhiều nha
0
193
0
ok bạn