

Hãy luôn nhớ cảm ơn và vote 5*
nếu câu trả lời hữu ích nhé!
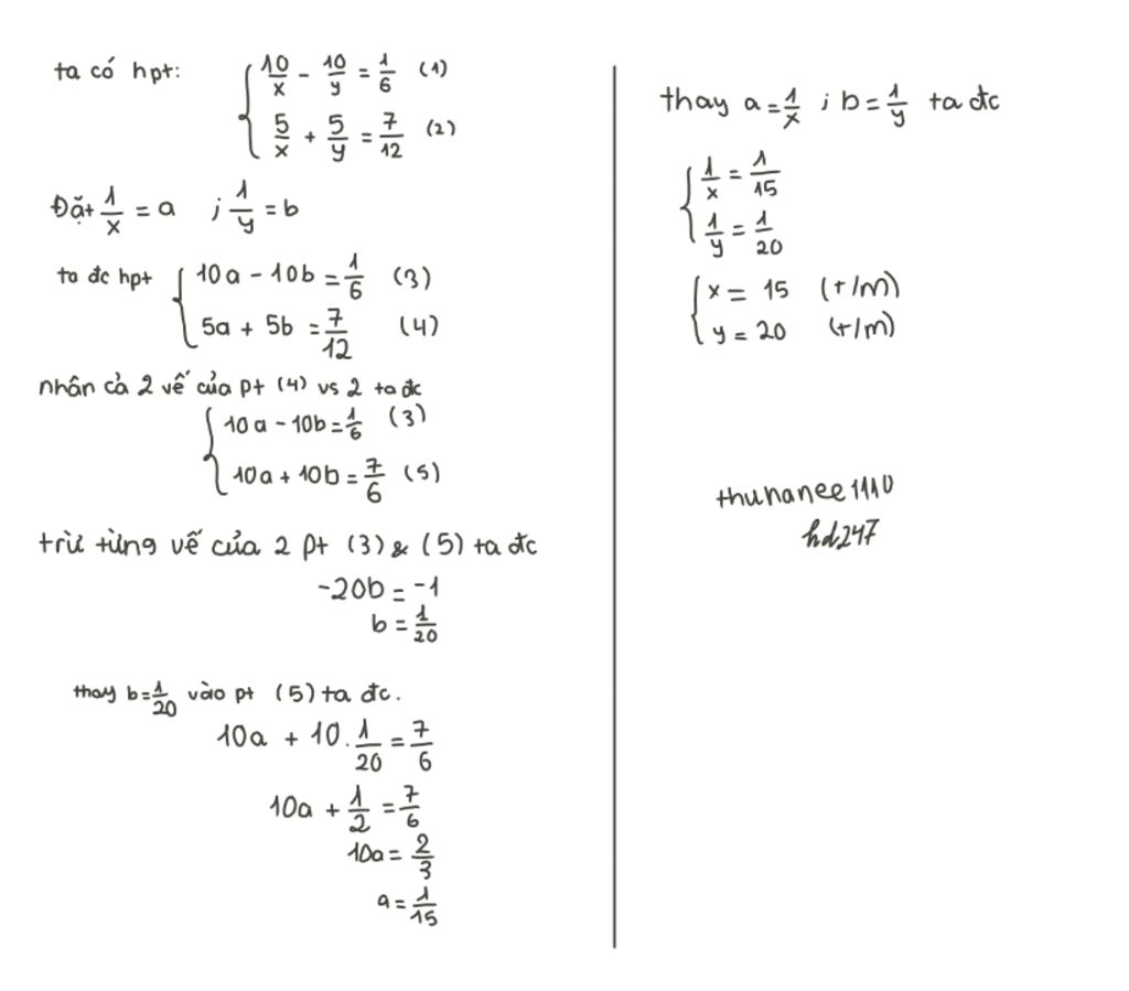
Đổi 10 phút = $\dfrac{1}{6}$ giờ / 35 phút = $\dfrac{7}{12}$ ( giờ )
- Gọi vận tốc đạp xe đi học hàng ngày của Nam là x ( km/h )
Gọi vận tốc đạp xe đi học lớn nhất của Nam là y ( km/h )
- Điều kiện: ( y > x > 0 )
- Thời gian đạp xe đi học với vận tốc hàng ngày là: $\dfrac{10}{x}$ ( giờ )
- Thời gian đạp xe đi học với vận tốc lớn nhất là: $\dfrac{10}{y}$ ( giờ)
- Vì đạp xe với vận tốc lớn nhất thì thời gian đi học sẽ rút ngắn 10 phút so với đạp xe với vận tốc hàng ngày, ta có phương trình:
$\dfrac{10}{x}$ - $\dfrac{10}{y}$ = $\dfrac{1}{6}$ (1)
- T/ gian sáng nay Nam đạp xe đi học với vận tốc lớn nhất trên quãng đường 5km là: $\dfrac{5}{y}$ ( giờ )
- T/ gian sáng nay Nam đạp xe đi học với vận tốc hàng ngày trên q/đường còn lại là: $\dfrac{5}{x}$( giờ)
- Tổng thời gian đạp xe đi học sáng nay của Nam là 35 phút, ta có phương trình:
$\dfrac{5}{y}$ + $\dfrac{5}{x}$ = $\dfrac{7}{12}$ (2)
- Từ ( 1 ) và ( 2 ) ta có hệ phương trình:
- * Trong ảnh
Vậy vận tốc đạp xe đi học hàng ngày của Nam là 15 km/h
vận tốc đạp xe đi học lớn nhất của Nam là 20 km/h
Hãy giúp mọi người biết câu trả lời này thế nào?
Bảng tin