

Hãy luôn nhớ cảm ơn và vote 5*
nếu câu trả lời hữu ích nhé!
chúc bạn học tốttt(つ)つ
*xin hay nhất ạ*
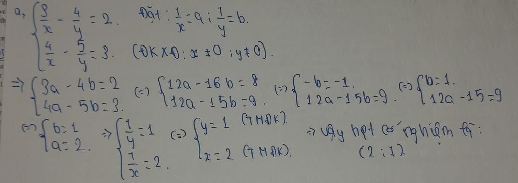
bạn ơi mình ghi là chữa ĐẶT ở mỗi câu đó ạ là đặt ẩn phụ a và b đó còn ẩn chính là x với y đó ạ
Hãy giúp mọi người biết câu trả lời này thế nào?
![]()
Bảng tin
0
130
0
to cam onn aaaaa
0
130
0
nmà giải bng pp đặt ẩn phụ mà ạ