

Hãy luôn nhớ cảm ơn và vote 5*
nếu câu trả lời hữu ích nhé!
Đáp án:
Giải thích các bước giải:
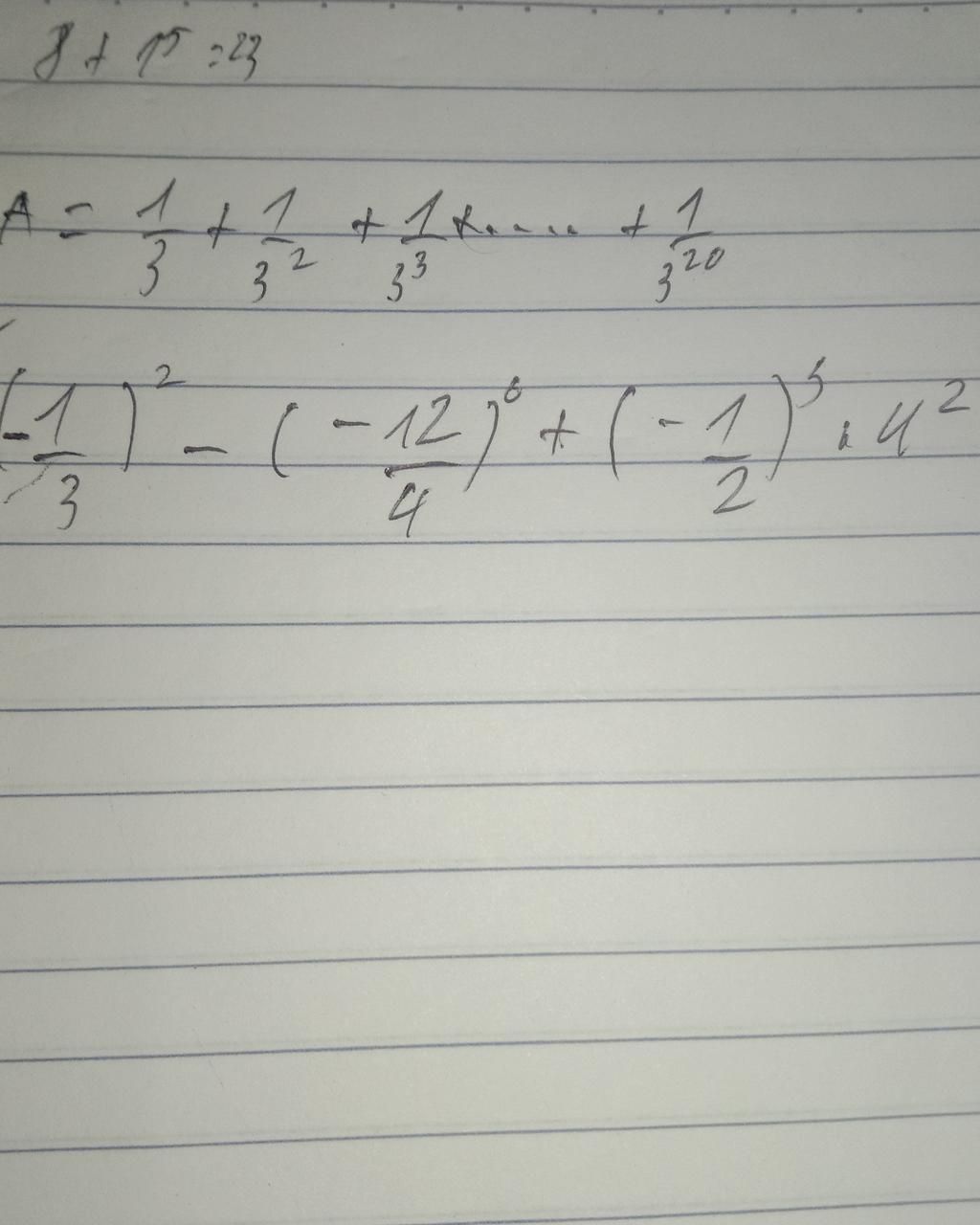
`A=1/3+1/3^3+1/3^3+...+1/3^20`
`3A=3*(1/3+1/3^3+1/3^3+...+1/3^20)`
`=1+1/3+1/3^3+1/3^3+...+1/3^20`
`3A-A=(1+1/3+1/3^3+1/3^3+...+1/3^21)`
`-(1/3+1/3^3+1/3^3+...+1/3^20)`
`2A=1-1/3^20`
`=>A=(1-1/3^20)/2`
`Vậy A=(1-1/3^20)/2`
`B=(-1/3)^2-(-12/4)^6+(-1/2)^3*4`
`=1/3^2- 3^6-1/2^3*4`
`=1/9-729-1/8*4`
`=1/9-729-1/2`
`=1/9-1459/2`
`=2/18-13131/18`
`=-13129/18`
`240520122008212`
Hãy giúp mọi người biết câu trả lời này thế nào?
![]()
Đáp án:
Giải thích các bước giải:
`A=1/3+1/3^3+1/3^3+...+1/3^20`
`3A=3*(1/3+1/3^3+1/3^3+...+1/3^20)`
`=1+1/3+1/3^3+1/3^3+...+1/3^20`
`3A-A=(1+1/3+1/3^3+1/3^3+...+1/3^21)`
`-(1/3+1/3^3+1/3^3+...+1/3^20)`
`2A=1-1/3^20`
`=>A=(1-1/3^20)/2`
`B=(-1/3)^2-(-12/4)^6+(-1/2)^3*4`
`=1/3^2- 3^6-1/2^3*4`
`=1/9-729-1/8*4`
`=1/9-729-1/2`
`=1/9-1459/2`
`=2/18-13131/18`
`=-13129/18`
`ngoctrangchauhoa`
Hãy giúp mọi người biết câu trả lời này thế nào?
Bảng tin
1
4
0
B2?
1871
510
1976
mk tưởng thiếu đề
1
4
0
Giúp tí được hong
1871
510
1976
cho mk hỏi đề câu 2 đúng ko ạ
1871
510
1976
chứ câu b mk chưa ra đáp án
1
4
0
Ừ•4nha
1871
510
1976
phần cuối nhân 4 phải ko ạ
1
4
0
Ok