

Hãy luôn nhớ cảm ơn và vote 5*
nếu câu trả lời hữu ích nhé!
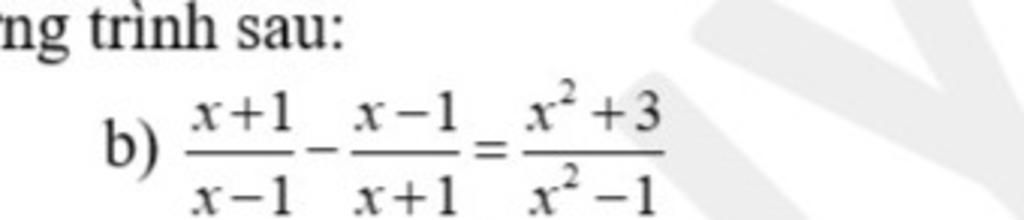
`(x+1)/(x-1) - (x-1)/(x+1)=(x^2+3)/(x^2-1)` đk `x \ne ±1`
`=> ((x+1)^2)/((x-1)(x+1)) - ((x-1)^2)/((x+1)(x-1))=(x^2+3)/(x^2-1)`
`=> (x+1)^2 - (x-1)^2=x^2+3`
`=>(x+1-x+1)(x+1+x-1)=x^2+3`
`=>2 . 2x - x^2 - 3 = 0`
`=> -x^2 + 4x - 3 = 0`
`=>-(x^2-4x+3)=0`
`=>-(x^2-3x-x+3)=0`
`=>-(x-1)(x-3)=0`
`=>x-1=0` hoặc `x-3=0`
`=>x=1 (ktm)` hoặc `x=3`
Vậy phương trình có nghiệm `x = 3`
Hãy giúp mọi người biết câu trả lời này thế nào?
Bảng tin