

Hãy luôn nhớ cảm ơn và vote 5*
nếu câu trả lời hữu ích nhé!
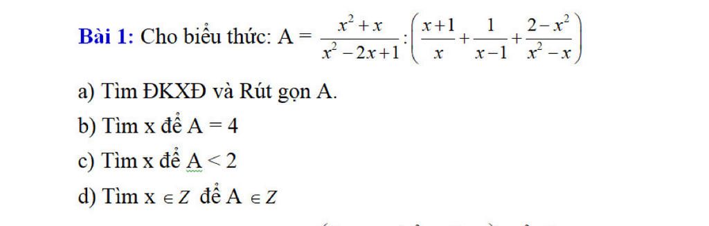
Đáp án + Giải thích các bước giải:
a)
ĐK: `x\ne-1;x\ne0;x\ne1`
`A=(x^2+x)/(x^2-2x+1):((x+1)/x+1/(x-1)+(2-x^2)/(x^2-x))`
`A=(x(x+1))/((x-1)^2):((x+1)(x-1)+x+2-x^2)/(x(x-1))`
`A=(x(x+1))/((x-1)^2).(x(x-1))/(x+1)`
`A=(x^2)/(x-1)`
Vậy với `x\ne-1;x\ne0;x\ne1` thì `A=(x^2)/(x-1)`
b)
`A=4` khi `(x^2)/(x-1)=4`
`<=>x^2=4x-4`
`<=>(x-2)^2=0`
`<=>x=2(n)`
Vậy `x=2` thì `A=4`
c)
`A<2` khi `(x^2)/(x-1)<2`
`<=>(x^2)/(x-1)-2<0`
`<=>(x^2-2x+2)/(x-1)<0`
Với `x\ne-1;x\ne0;x\ne1` thì `x^2-2x+2=(x-1)^2+1>0`
Do đó: `x-1<0<=>x<1`
Kết hợp các điều kiện, ta được: `x<1;x\ne0;x\ne-1`
Vậy `x<1;x\ne-1;x\ne0` thì `A<2`
d)
`A\inZZ` khi `(x^2)/(x-1)\inZZ`
Mặt khác: `(x^2)/(x-1)=(x^2-1+1)/(x-1)=x+1+1/(x-1)`
Do đó: `x-1\in Ư(1)={1;-1}`
`=>x\in{2;0}`
Kết hợp với các điều kiện, ta được: `x=2`
Vậy `x=2`
Hãy giúp mọi người biết câu trả lời này thế nào?
Bảng tin
0
100
0
-) e là......... totandat
0
100
0
=))
5792
93398
3421
sao e kh vác xác tới đây gặp tôi mà lại phủ mình dưới thân phận acc clone thề này....
0
100
0
=)) bye mod (e kph totandat đâu -))))))))))))))))))
5792
93398
3421
jiet m h 🤡
0
100
0
=))
5792
93398
3421
r đó e
0
100
0
Cảm ơn mod cute pho mai que de thuong hoc gioi xinh dep <3333333333 -))))))))))))))))))))))))))))