

Hãy luôn nhớ cảm ơn và vote 5*
nếu câu trả lời hữu ích nhé!
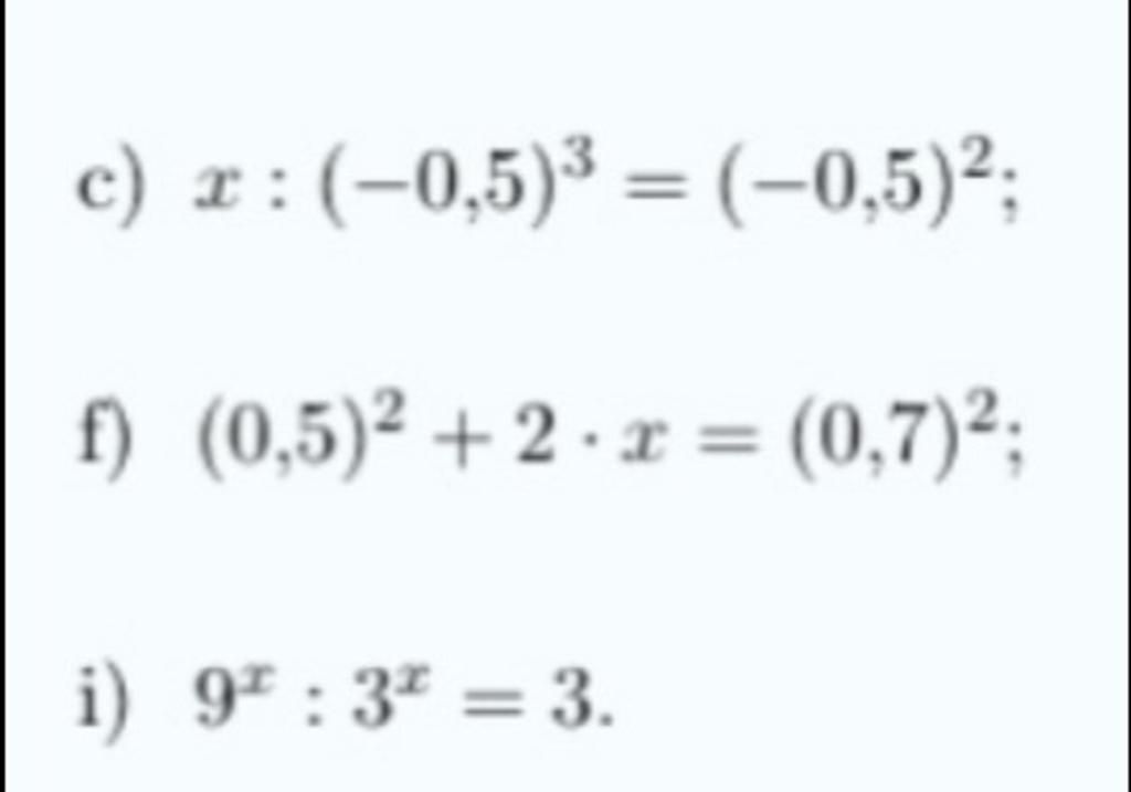
`c) x : ( -0,5 )^3 = ( -0,5 )^2`
`⇔ x = ( -0,5 )^2 . ( -0,5 )^3`
`⇔ x = ( -0,5 )^5`
`⇔ x = -1/32`
$\\$
`f) ( 0,5 )^2 + 2 . x = ( 0,7 )^2`
`⇔ 0,25 + 2x = 0,49`
`⇔ 2x = 0,49 - 0,25`
`⇔ 2x = 0,24`
`⇔ x = 0,24 : 2`
`⇔ x = 0,12`
$\\$
`i) 9^x : 3^x = 3`
`⇔ ( 3^2 )^x : 3^x = 3`
`⇔ 3^(2x) : 3^x = 3`
`⇔ 3^(2x - x) = 3`
`⇔ 3^x = 3`
`⇔ 3^x = 3^1`
`⇔ x = 1`
Hãy giúp mọi người biết câu trả lời này thế nào?
![]()
Đáp án `+` Giải thích các bước giải:
`c) x:(-0,5)^3 = (-0,5)^2`
`=> x =(-0,5)^2 . (-0,5)^3`
`=> x=(-0,5)^5`
`=> x =-1/32`
`f) (0,5)^2 + 2.x =(0,7)^2`
`=> 2.x = (0,7)^2 -(0,5)^2`
`=> 2.x = 0,24`
`=> x =0,24 :2`
`=> x =0,12`
`i) 9^x :3^x =3`
`=> (9:3)^x =3`
`=> 3^x=3^1`
`=> x=1`
Hãy giúp mọi người biết câu trả lời này thế nào?
![]()
Bảng tin
2246
1745
1541
giúp đại đc k ak
6964
3926
4967
ko ạ