Vui lòng chỉ chọn một câu hỏi
Hoidap247.com Nhanh chóng, chính xác
+
Danh mục mới
25
740
13
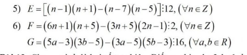
giúp mình với ạ đề bài là chứng minh mình cảm ơn
Hãy luôn nhớ cảm ơn và vote 5* nếu câu trả lời hữu ích nhé!
4070
31755
3750
Đáp án:
Giải thích các bước giải:
Hãy giúp mọi người biết câu trả lời này thế nào?
Bảng tin
Gửi yêu cầu Hủy