

Hãy luôn nhớ cảm ơn và vote 5*
nếu câu trả lời hữu ích nhé!
Đáp án:
Giải thích các bước giải:
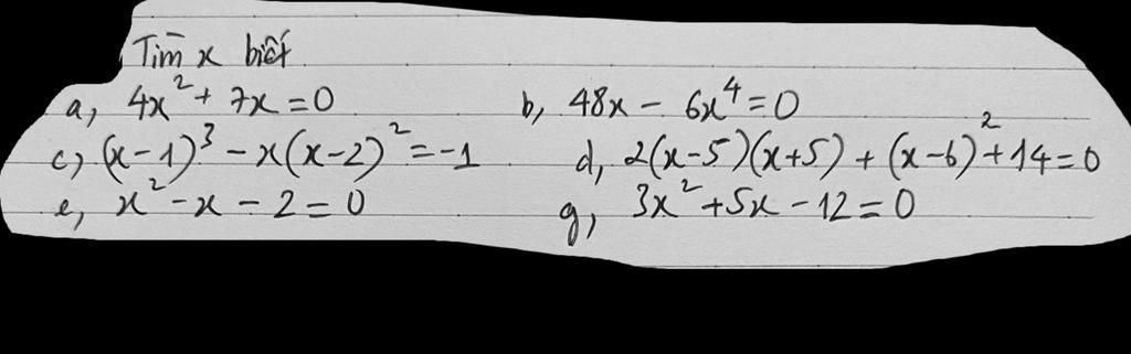
a, 4x²+7x=0
x(4x+7)=0
Suy ra x=0 hoặc 4x+7=0
x=0 x=$\frac{-7}{4}$
Vậy x=0; x=$\frac{-7}{4}$
b, 48x-6x=0
-6x+48x=0
-6x(x³-8)=0
-6x(x-2)(x²+2x+4)=0
Suy ra -6x=0 hoặc x-2=0 hoặc x²+2x+4=0
x=0 x=2 (x²+2x+1)+3=0
(x+1)²=-3
Vì: (x+1)²-3$\geq$ -3(vô lý)
Vậy x=0; x=2
c, (x-1)³-x(x-2)²=-1
x³-3x²+3x-1-x(x²-4x+4)=-1
x³-3x²+3x-1-x³+4x²-4x+1=0
x²-x=0
x(x-1)=0
Suy ra x=0 hoặc x-1=0
x=0 x=1
Vậy x=0; x=1
d, 2(x-5)(x+5)+(x-6)²+14=0
2x²-50+x²-12x+36+14=0
3x²-12x=0
3x(x-4)=0
Suy ra 3x=0 hoặc x-4=0
x=0 x=4
Vậy x=0; x=4
e,x²-x-2=0
x²-2x+x-2=0
x(x-2)+(x-2)=0
(x-2)(x+1)=0
Suy ra x-2=0 hoặc x+1=0
x=2 x=-1
Vậy x=2; x=-1
g, 3x²+5x-12=0
3x²-4x+9x-12=0
x(3x-4)+3(3x-4)=0
(3x-4)(x+3)=0
Suy ra 3x-4=0 hoặc x+3=0
x=$\frac{4}{3}$ x=-3
Vậy x=$\frac{4}{3}$ ; x=-3
Hãy giúp mọi người biết câu trả lời này thế nào?
`#Aridoto`
`a.`
`4x^2+7x=0`
`<=>x(4x+7)=0`
`<=>x=0` hoặc `4x+7=0`
`<=>x=0` hoặc `x=-7/4`
Vậy `x=0` hoăc `x=-7/4`
`b.`
`48x-6x^4=0`
`<=>6x(8-x^3)=0`
`<=>x=0` hoặc `8-x^3=0`
`<=>x=0` hoặc `x=2`
Vậy `x=0` hoặc `x=2`
`c.`
`(x-1)^3-x(x-2)^2=-1`
`<=>x^3-3x^2+3x-1-x^3+4x^2-4x+1=0`
`<=>x^2-x=0`
`<=>x(x-1)=0`
`<=>x=0` hoặc `x=1`
Vậy `x=0` hoặc `x=1`
`d.`
`2(x-5)(x+5)+(x-6)^2+14=0`
`<=>2x^2-50+x^2-12x+36+14=0`
`<=>3x^2-12x-36=0`
`<=>x^2-4x-12=0`
`<=>x^2-6x+2x-12=0`
`<=>(x-6)(x+2)=0`
`<=>x-6=0` hoặc `x+2=0`
`<=>x=6` hoặc `x=-2`
Vậy `S={-2;6}`
`e.`
`x^2-x-2=0`
`<=>x^2+x-2x-2=0`
`<=>(x+1)(x-2)=0`
`<=>x+1=0` hoặc `x-2=0`
`<=>x=-1` hoặc `x=2`
Vậy `S={-1;2}`
`g.`
`3x^2+5x-12=0`
`<=>3x^2+9x-4x-12=0`
`<=>3x(x+3)-4(x+3)=0`
`<=>(x+3)(3x-4)=0`
`<=>x+3=0` hoặc `3x-4=0`
`<=>x=-3` hoặc `x=4/3`
Vậy `S={-3;4/3}`
Hãy giúp mọi người biết câu trả lời này thế nào?
Bảng tin